Предмет: Математика,
автор: batima3415
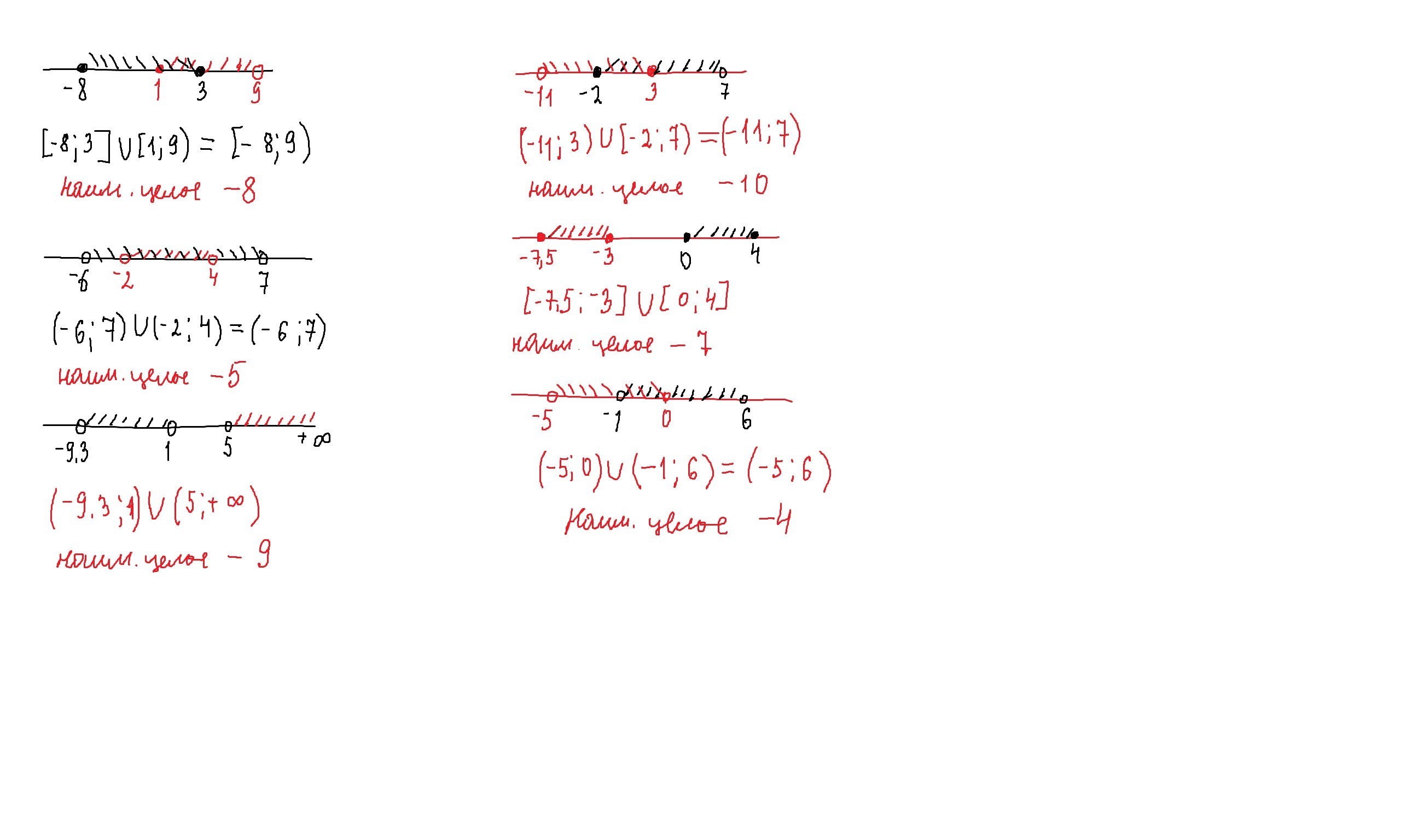
даны числовые промежутки [-8;3]и [1;9)
(-6;7) и (-2;4)
(-9,3; 1) и (5; +бескон.)
(-11;3] и [-2;7)
[-7,5; -3] и [0; 4]
(-5; 0) и (-1; 6)
•Изобразите заданные числовые промежутки на координатной прямой
•Запишите объединение промежутков
•Укажите наименее целое число ,принадлежащее объединению промежутков
Пж помогите даю 15 баллов
Ответы
Автор ответа:
22
если скобка круглая,то точка не закрашана(там "прокол") и это точка не принадлежит этому проежутку.
если скобка квадратная, то точка закрашена и число принадлежит промежутку.
поэтому,когда находим наименьшее целое число,то смотрим на скобку,в 1 случае скобка квадратная,значит число -8 принадлежит этому промежутку и оно наименьшее целое число.
во 2 примере число -6 не принадлежит промежутку,там прокол,поэтому берем точку -5.
ну и все примеры дальше-аналогично
Приложения:
Dimner:
в 3-ем там будет = https://goo.gl/images/sBJ1ua
пустое множество
Похожие вопросы
Предмет: Математика,
автор: un6636718
Предмет: Математика,
автор: egortrofimov0
Предмет: Математика,
автор: adiya0208
Предмет: Математика,
автор: 123456789728
Предмет: Математика,
автор: ekaterinapopova05