Предмет: Алгебра,
автор: ATC
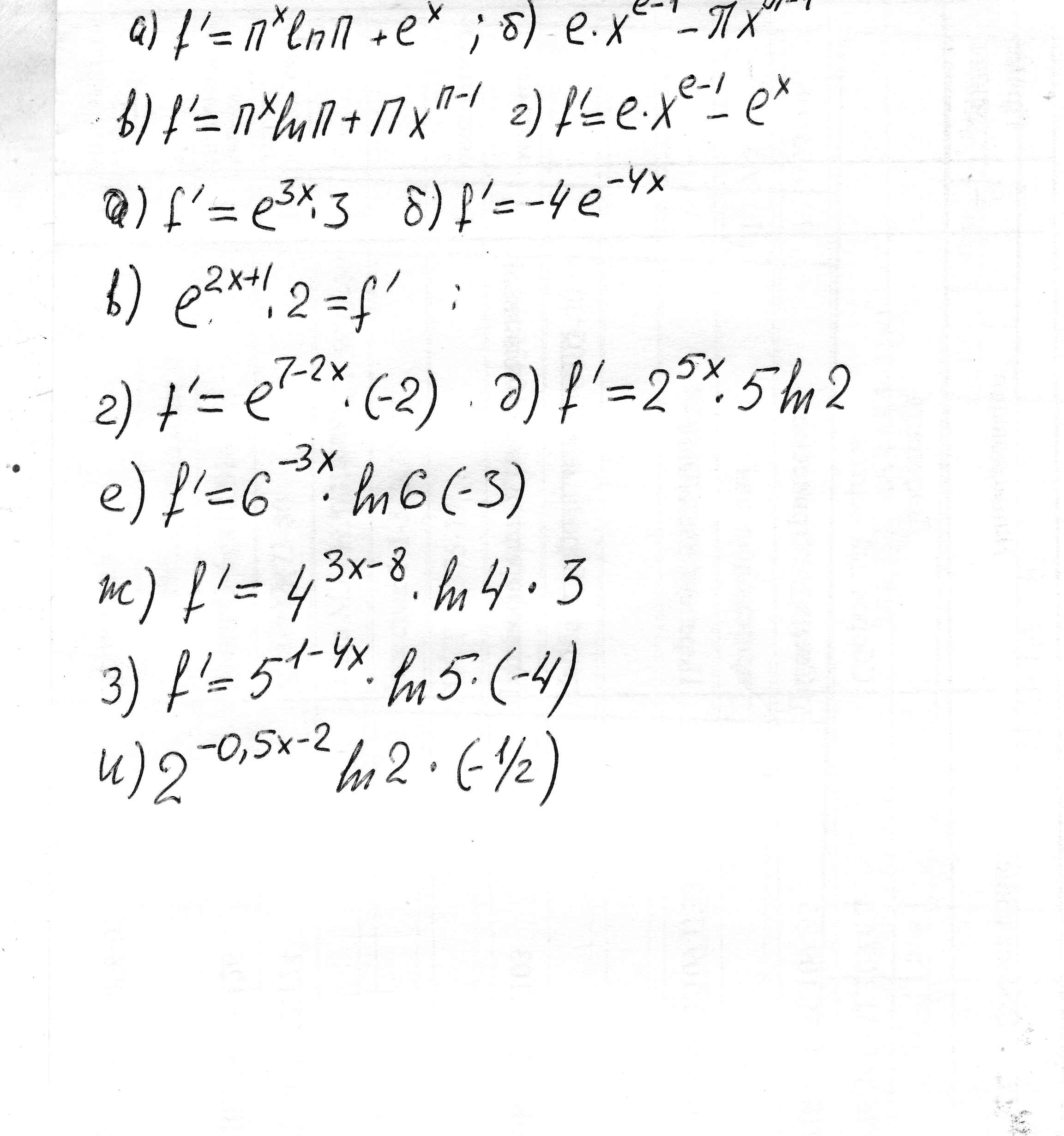
ПОМОГИТЕ, ПОЖАЛУЙСТА! ЗАДАНИЯ НА ПРОИЗВОДНУЮ, 11 КЛАСС!
Приложения:
Ответы
Автор ответа:
0
Смотри вложения)))))))))
Приложения:
Похожие вопросы
Предмет: Геометрия,
автор: bogdankuznecov964
Предмет: Математика,
автор: original58
Предмет: Математика,
автор: Shcolnick228666
Предмет: Химия,
автор: Imenka
Предмет: Биология,
автор: Karina0808