Предмет: Алгебра, автор: 4leks

Помогите найти "x" пожалуйста.

Приложения:

Ответы

Автор ответа: Аноним
2

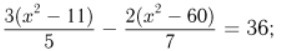
\tt\frac{3(x^2-11)}{5}-\frac{2(x^2-60)}{7}=36\ /\cdot35\\\\21(x^2-11)-10(x^2-60)=1260\\\\21x^2-231-10x^2+600=1260\\\\11x^2-231+600-1260=0\\\\11x^2-891=0\ /:11\\\\x^2-81=0\\\\(x-9)(x+9)=0\\\\x-9=0 \ \ \ \ x+9=0\\\\x=9\ \ \ \ \ \ \ \ \ x=-9

Ответ: -9,9

Похожие вопросы
Предмет: Геометрия, автор: fantomyyt6
Предмет: Математика, автор: ран7