Предмет: Алгебра,
автор: andrejmosejcuk981115
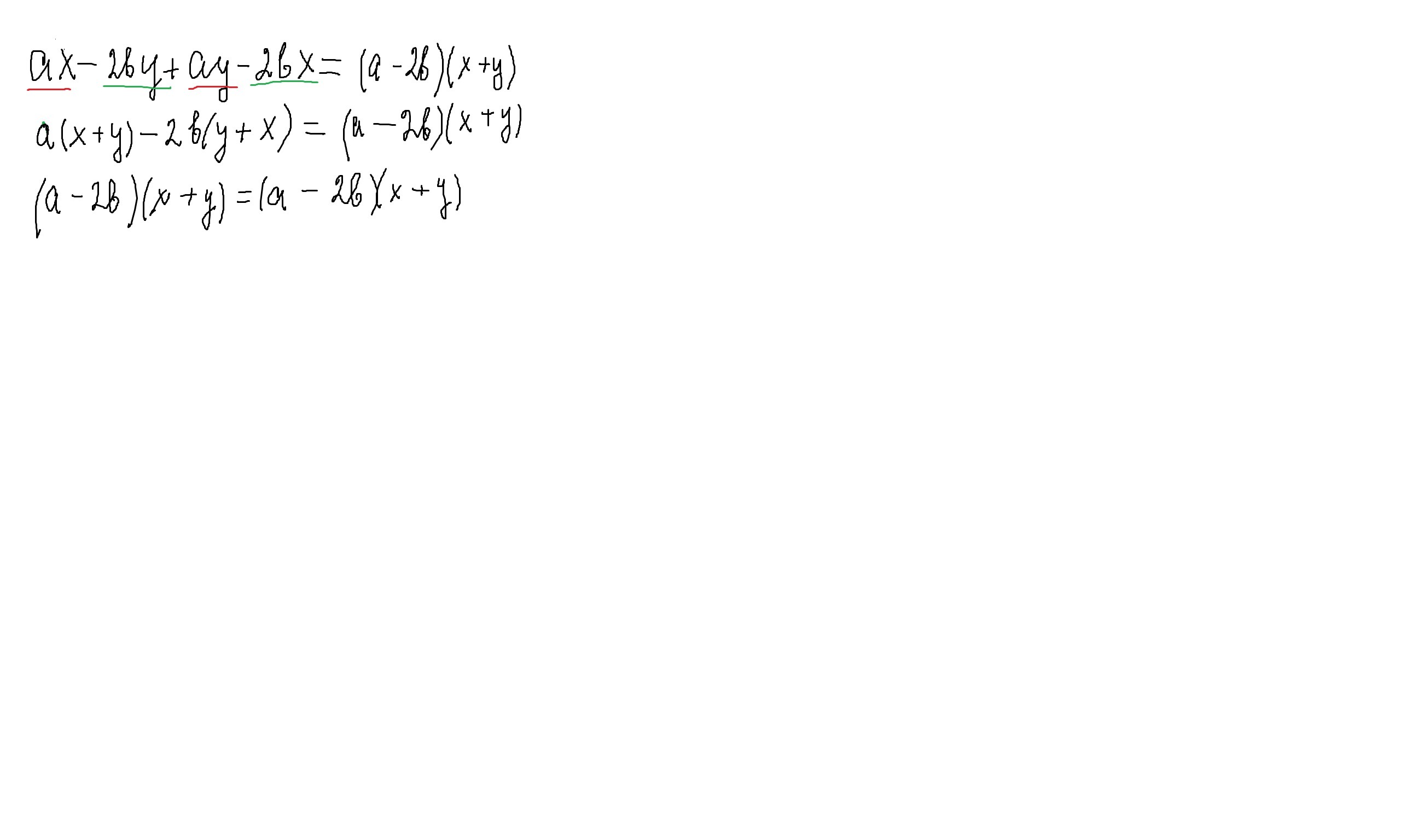
Алгебра 7 класс дакажите тождество ax-2by+ay-2bx=(a-2b)(x+y)
Ответы
Автор ответа:
3
в левой части выносим общий множитель за скобки до тех пор,пока она не будет равна правой части.(правую часть не изменяем)
Приложения:
Похожие вопросы
Предмет: Математика,
автор: SakurovaLera6232
Предмет: Математика,
автор: marydarkk1325
Предмет: Физика,
автор: alexandrovgpa5411
Предмет: Литература,
автор: maksemili
Предмет: Математика,
автор: Laditsky