Предмет: Физика,
автор: merey100000000009
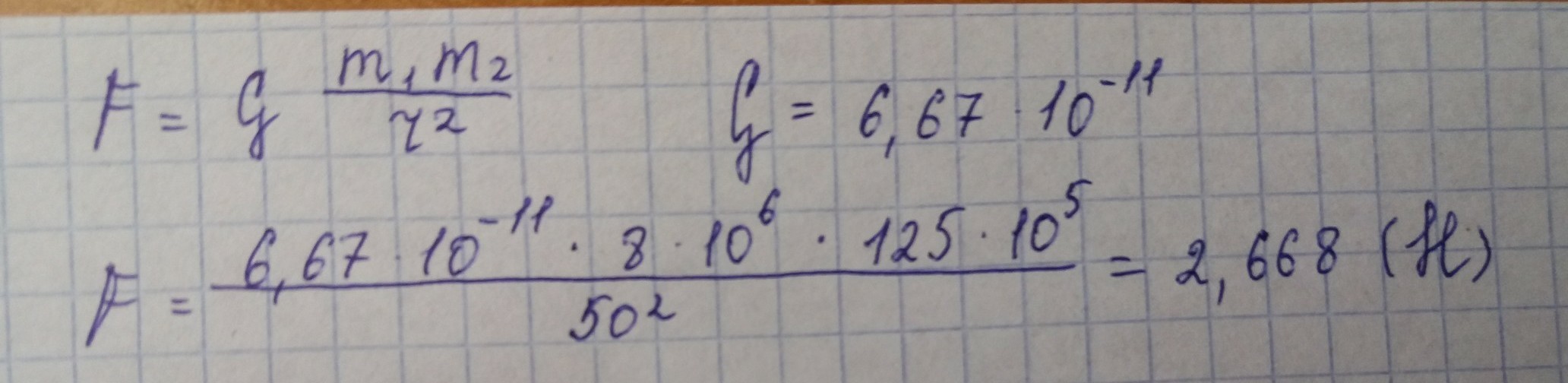
определить силу притяжения двух кораблей с массами 8000 т, и 12500 т.Растояние между ними 50 метров
Ответы
Автор ответа:
1
Смотри решение на фото
Приложения:
Похожие вопросы
Предмет: Литература,
автор: annaverhovskaa2
Предмет: Геометрия,
автор: dimon08g
Предмет: История,
автор: sofiymakarova2011
Предмет: Биология,
автор: LuTOMMO17
Предмет: Литература,
автор: 1Софочка1