Предмет: Математика,
автор: azatyurtlybaev24
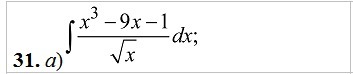
Помогите найти неопределенные интегралы. Результаты проверить дифференцированием.
Приложения:
Ответы
Автор ответа:
1
Ответ:
Пошаговое объяснение:
Приложения:
Похожие вопросы
Предмет: Математика,
автор: meva98292
Предмет: Информатика,
автор: uluuluuullllll
Предмет: Другие предметы,
автор: altynajkulzanova83
Предмет: Биология,
автор: Anonumo4ka
Предмет: История,
автор: СофьяЛебедева585