Предмет: Математика,
автор: nastiusa313
Помогите пожалуйста
Задания: от 20 до 24
Приложения:
Ответы
Автор ответа:
0
Ответ:
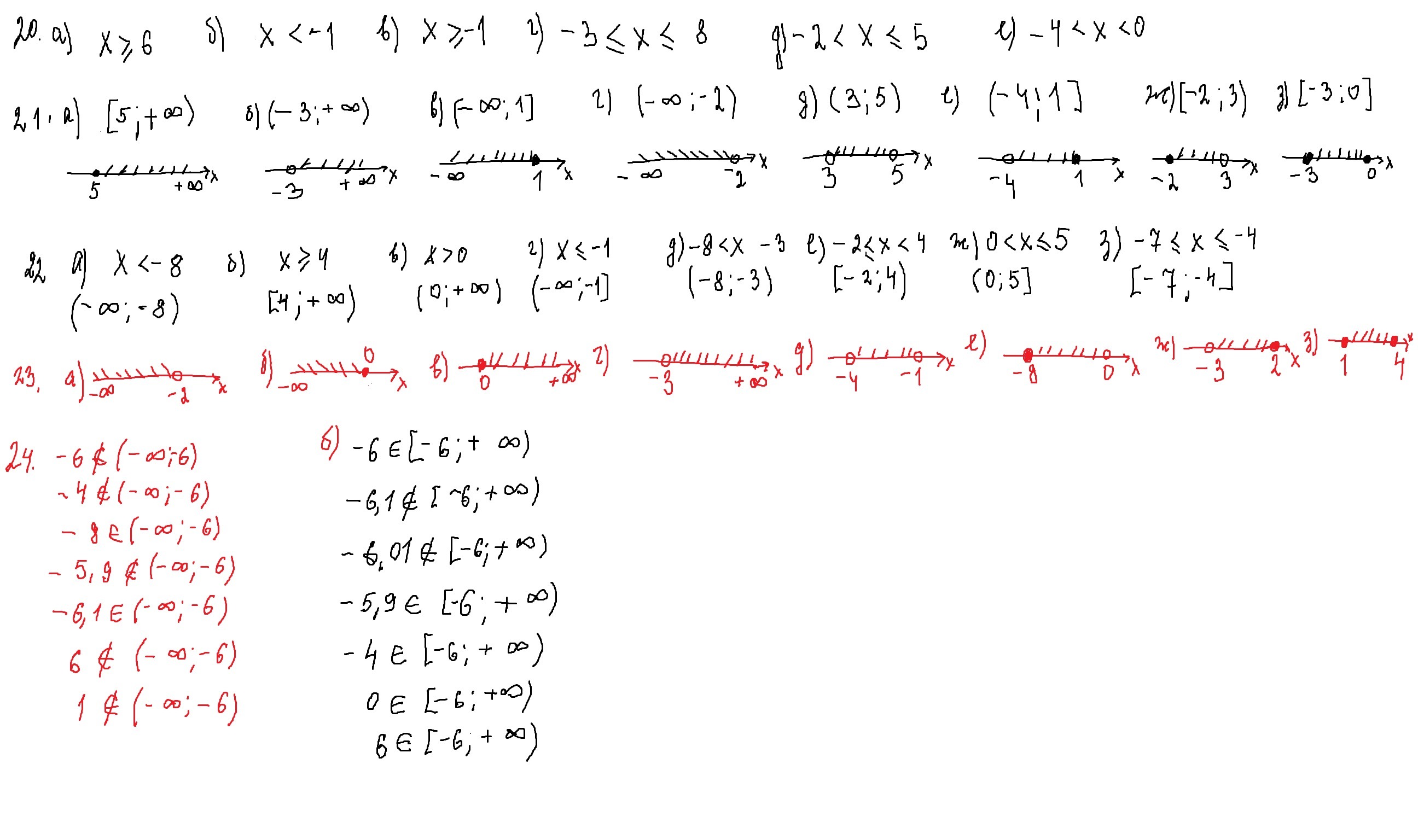
если точка закрашена,то неравенство нестрогое и скобка квадратная
если точка не закрашена("дырка") ,то неравенство строгое и скобка круглая
решение смотри внизу
Приложения:
Похожие вопросы
Предмет: Геометрия,
автор: vsepovzlomu
Предмет: Литература,
автор: pivozavr68
Предмет: Математика,
автор: gorovenkostefania
Предмет: Математика,
автор: jannajalgas
Предмет: Обществознание,
автор: светик5551