Предмет: Алгебра,
автор: mashapetrova19925
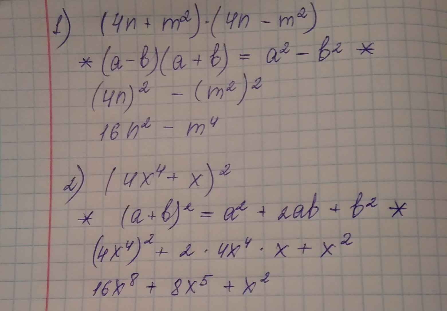
Преобразуйте выражение, используя формулы сокращённого умножения: (4n+m^2)(4n-m^2), (4x^4+x)^2 и можно подробнее пожалуйста.
Ответы
Автор ответа:
1
Ответ на фото ................
Приложения:
Похожие вопросы
Предмет: Химия,
автор: azizbeksaydaliyev14
Предмет: Математика,
автор: lianaL220101405
Предмет: Математика,
автор: savichenkoalisa
Предмет: Химия,
автор: ufhhj
Предмет: Математика,
автор: Casper16110501