Предмет: Математика,
автор: tleugazinali
Решите уравнение:
1) 3,557+х 2)х-0,731
--------------- = 4; -------------- = 5;
2. 3
3) 12,392+х
------------------ = 2,365 + 2,635
5
4) 125,95 - х
------------------ = 6.
2,65 + 4,35
Ответы
Автор ответа:
6
Вот, я решила, надеюсь понятно
Приложения:
Автор ответа:
12
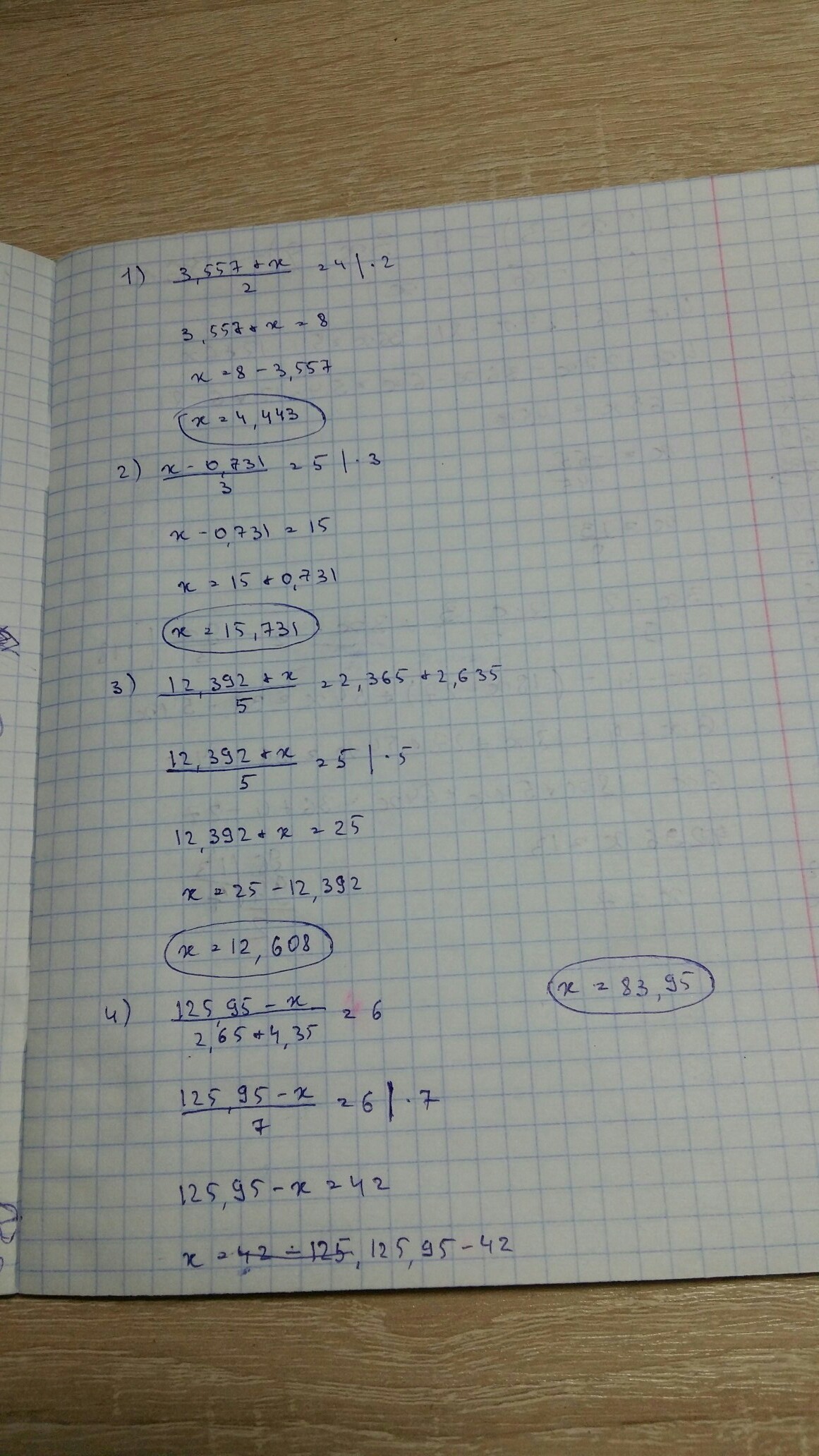
(3,557 + х ) / 2 = 4
(3,557 + х ) : 2 = 4
3,557 + х = 4 *2
3,557 + х = 8
х = 8 - 3,557
х = 4,443
(х-0,731)/3 = 5
(х - 0,731) : 3 = 5
х - 0,731 = 5*3
х - 0,731 = 15
х= 15 + 0,731
х =15,731
(12,392 + х ) / 5 = 2,365 + 2,635
(12,392 +х) : 5 = 5
12,392+х = 5*5
12,392 +х = 25
х= 25 - 12,392
х=12,608
(125,95 -х ) /(2,65 + 4,35) = 6
(125,95 - х ) : 7 =6
125,95 -х = 6*7
х= 125,95 -42
х= 83,95
ВОТ НАДЕЮСЬ ПОМОГЛА
Похожие вопросы
Предмет: Биология,
автор: ma6a1994p728ka
Предмет: Математика,
автор: Djdjdjjdjdl
Предмет: Английский язык,
автор: tanya2004mytsak
Предмет: Математика,
автор: 232316
Предмет: Математика,
автор: PiyavkaKrasivaya