Предмет: Алгебра,
автор: Романовичек
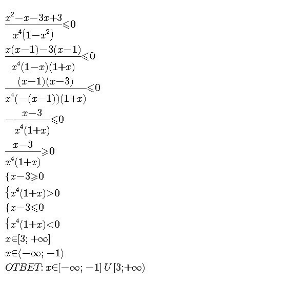
x^2-4x+3/x^4-x^6≤0
Срочно помогите решить
Ответы
Автор ответа:
1
Решение смотрите в приложении.
Приложения:
Похожие вопросы
Предмет: История,
автор: vleonteva1
Предмет: Математика,
автор: kk4493781
Предмет: Литература,
автор: artkhrystyuk
Предмет: Математика,
автор: refa228
Предмет: География,
автор: alieametova2003