Предмет: Алгебра,
автор: gygg90
РЕШИТЕ НОМЕР 2 и 3 ПОЖАЛУЙСТА.
ЗАРАНЕЕ СПАСИБО ОГРОМНОЕ
Приложения:
Ответы
Автор ответа:
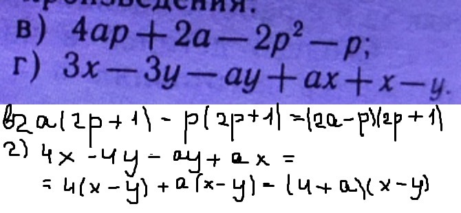
1
......................................................
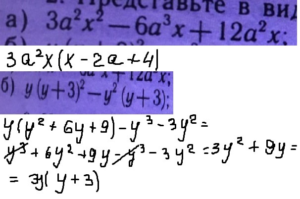
Приложения:
gygg90:
Спасибо огромное !
Похожие вопросы
Предмет: Английский язык,
автор: az078665com
Предмет: Українська мова,
автор: Maks0602bokanch
Предмет: Математика,
автор: xxxkabanchikxxx
Предмет: Математика,
автор: alex44sasha1
Предмет: Математика,
автор: ксюша1133