Предмет: Алгебра, автор: gfm40

найдите sin a и cos a, если известно, что tg a = -2, cos a > 0

Приложения:

Ответы

Автор ответа: glob4ik
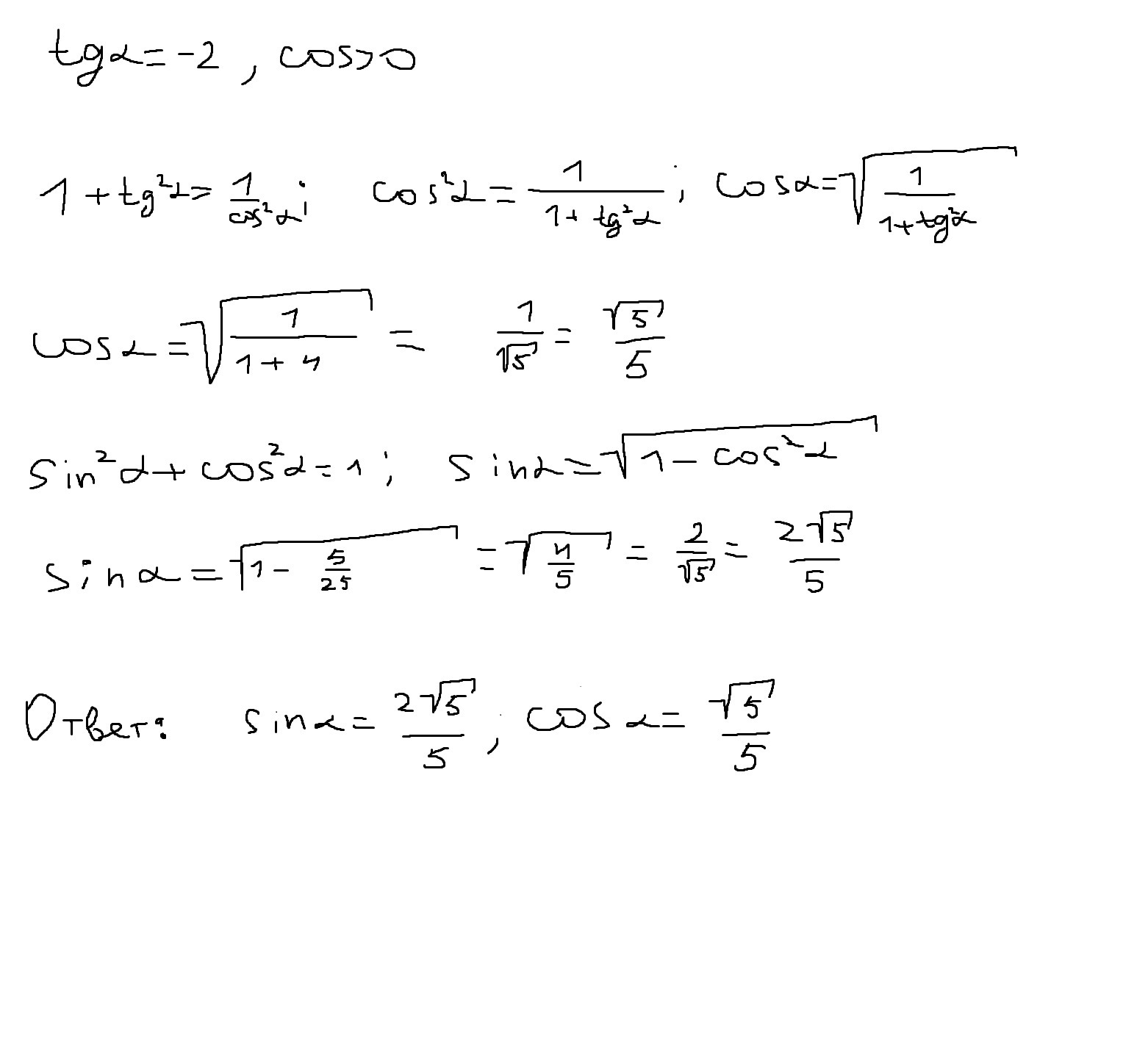
1

Суть ты понял, я надеюсь

Приложения:

Universalka: Синус отрицательный, так как альфа - угол четвёртой четверти.
Автор ответа: Universalka
2

tgα < 0 , Cosα > 0   ⇒   α - угол четвёртой четверти

1+tg^{2} \alpha=\frac{1}{Cos^{2}\alpha}\\\\Cos^{2}\alpha=\frac{1}{1+tg^{2}\alpha}=\frac{1}{1+(-2)^{2} }=\frac{1}{5}\\\\Cos\alpha=\sqrt{\frac{1}{5} }=\frac{1}{\sqrt{5} }=\frac{\sqrt{5} }{5}\\\\Sin\alpha=-\sqrt{1-Cos^{2}\alpha}=-\sqrt{1-\frac{1}{5} }=-\sqrt{\frac{4}{5} }=-\frac{2}{\sqrt{5} }=-\frac{2\sqrt{5} }{5}

Похожие вопросы
Предмет: Математика, автор: dariayanenkoo
Предмет: Математика, автор: russhevchuk97