Предмет: Алгебра,
автор: Ibraev1
Решите пожалуйста:
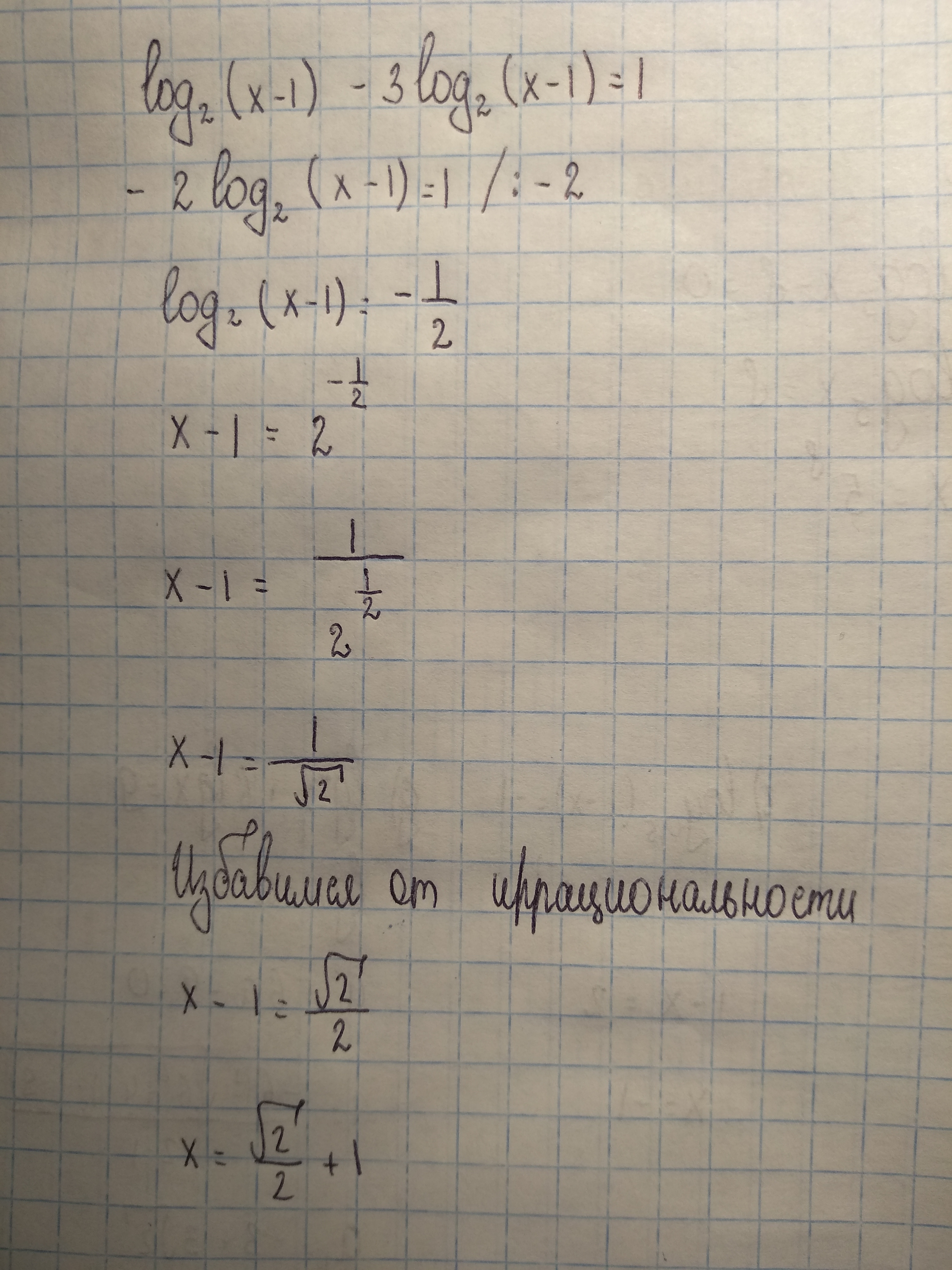
log2 (x−1)−3log2(x−1)=1
log9(x−2)+log81(x−2)=1,5
Jussery:
это система уравнений? или два по отдельности?
два по отдельности
ок, сейчас решим.
спасибо
Ответы
Автор ответа:
1
Ответ прикреплен во вложении
Приложения:
Похожие вопросы
Предмет: География,
автор: sokhakatia123
Предмет: Физика,
автор: ArtemHyda
Предмет: Математика,
автор: rasvet3
Предмет: Математика,
автор: tdragan86
Предмет: Математика,
автор: алинаримма