Предмет: Математика,
автор: originalboy98
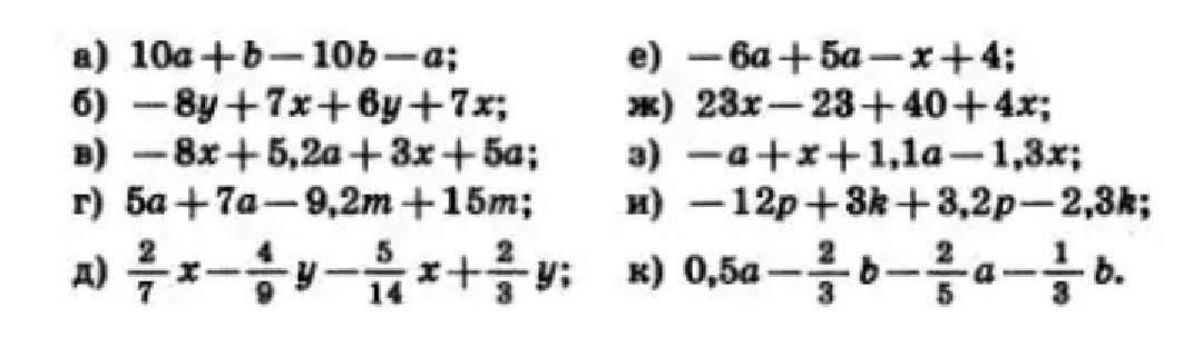
помогите решить даю 25 балов
Приложения:
Ответы
Автор ответа:
0
Вроде так получается
Приложения:
Похожие вопросы
Предмет: Физика,
автор: kolesnikvlada09
Предмет: Другие предметы,
автор: altynajkulzanova83
Предмет: Физика,
автор: ivanevcuk11
Предмет: Математика,
автор: kosachiv