Предмет: Физика,
автор: staslukutin
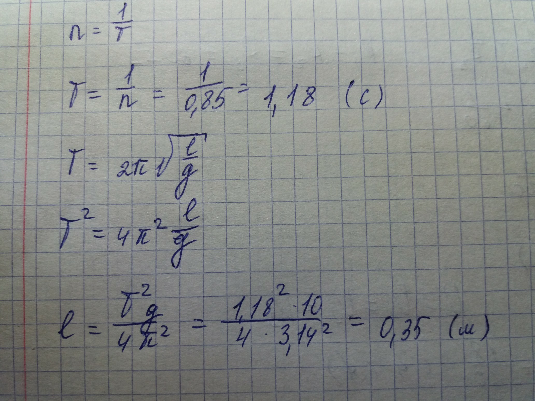
частота колебаний математического маятника 0,85Гц найти период и длину нити маятника
Ответы
Автор ответа:
2
смотри решение на фото
Приложения:
Похожие вопросы
Предмет: Биология,
автор: borsuceanastasia
Предмет: Химия,
автор: szarvina
Предмет: Алгебра,
автор: 228brawlking
Предмет: Математика,
автор: ggsgji
Предмет: Математика,
автор: эльмира73