Предмет: Алгебра, автор: mrr19sladkoeshka898

упростить выражения
срочно!!!!!

Приложения:

Ответы

Автор ответа: nadezda1055
1
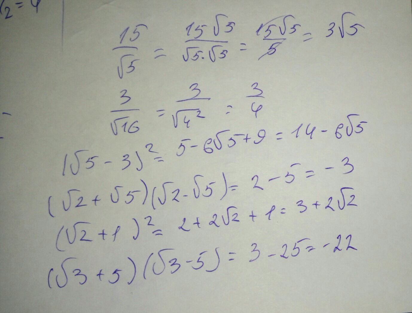
вот решила..................
Приложения:
Похожие вопросы
Предмет: Физика, автор: Noga12345
Предмет: Русский язык, автор: devochka681
Что значит судьба? Она дана человеку свыше или же сам творит её? наверное он Кто-то считает, что судьба предначертана свыше, то есть человек всё делает по заданной программе. Если мы что-либо делаем, но это не получается, то говорим: Значит не судьба. А могут ли люди управлять своей судьбой? Наверное, могут. Вот, например, у человека появятся пагубные привычки, а они могут отрица тельно повлиять на качество жизни, в некоторых же случаях эти пагуб ные привычки могут привести даже к изменению личности Человек либо живёт ради собственного удовольствия и счастья, лабо плывет по течению, либо совершает что-то значимое в жизни. Каждому дана возможность творить свою судьбу и определять свой жизненный путь. и важно не упустить свой шанс. и просто необходимо использовать лич ностные возможности, заложенные мудрой природой.

НУЖНО ВЫПИСАТЬ ИЗ ТЕКСТА СЛОЖНОСОЧИНЕННЫЕ ПРЕДЛОЖЕНИЯ, СОСТОЯЩИЕ ИЗ ТРЕХ ЧАСТЕЙ ​
Предмет: Математика, автор: Kalina138913