Предмет: Математика,
автор: Аноним
Допоможіть 2 і 3 завдання даю 20 балів, але швидко
Приложения:
Ответы
Автор ответа:
1
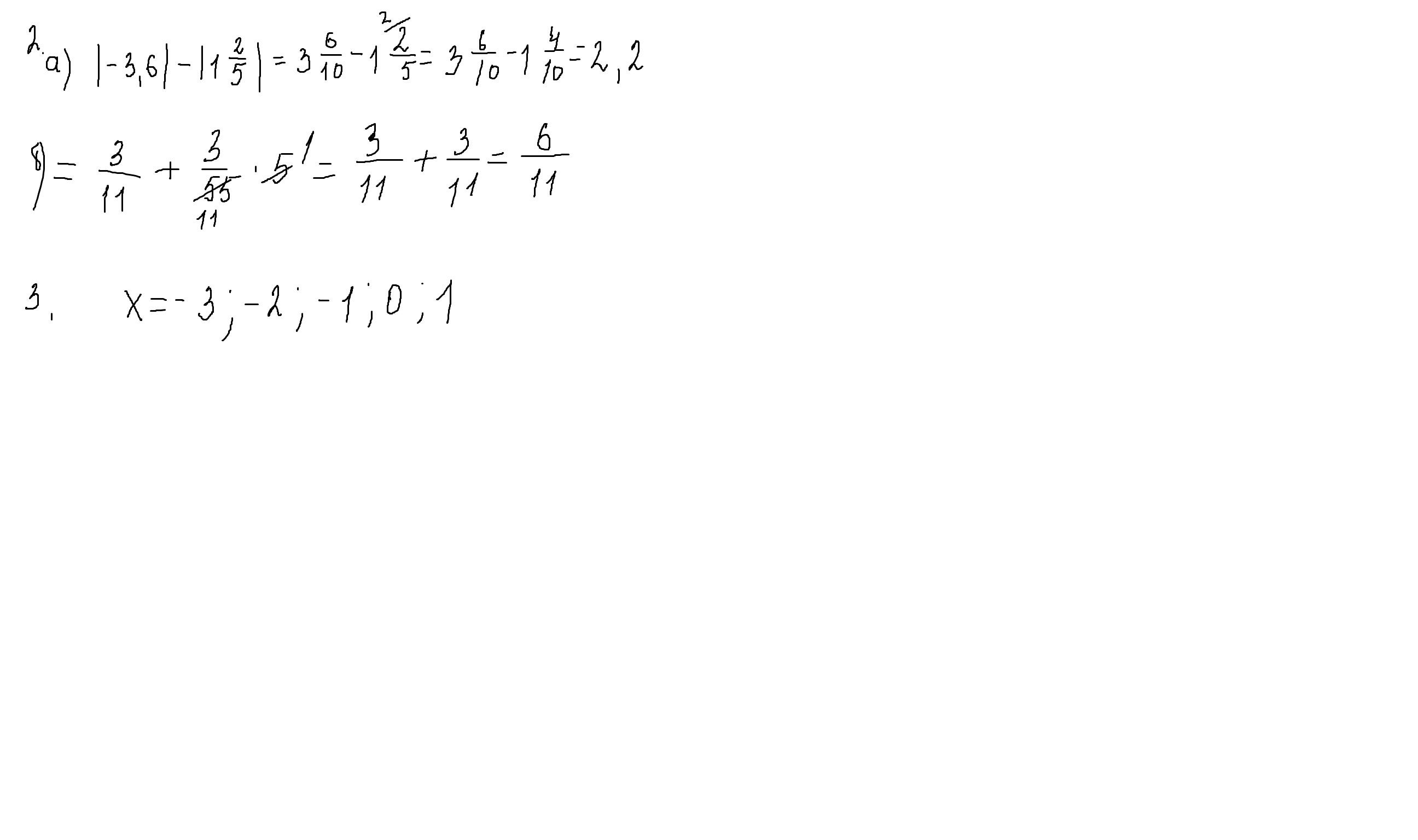
Ответ:
модуль любого числа всегда положительное число
Приложения:
Аноним:
Ти тупий мені треба було щоб ти на листу завдання написав
сам тупой.может тебе еще в твоей тетради написать.Перепиши,что я написала и все.
Похожие вопросы
Предмет: Математика,
автор: Аноним
Предмет: История,
автор: mariadacenko175384
Предмет: Литература,
автор: kruglovairinka82
Предмет: Математика,
автор: frviktoria
Предмет: Литература,
автор: zayacgek