Предмет: Алгебра,
автор: kiryha1234
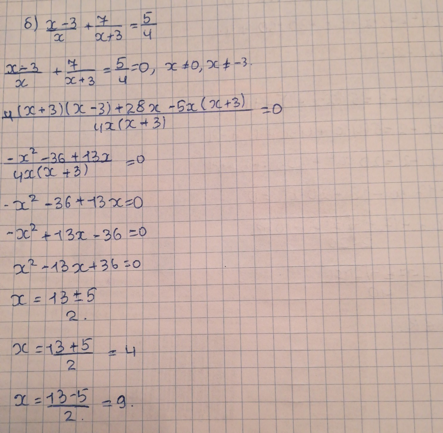
решите пожалуйста 6 номер б,г,е и 7 номер б
Приложения:
Ответы
Автор ответа:
0
7(б) нету извини.............
Приложения:
Похожие вопросы
Предмет: Русский язык,
автор: bqkn67vmh5
Предмет: Русский язык,
автор: gdmark
Предмет: Право,
автор: andrijkiricok207
Предмет: Математика,
автор: ПОМОГИТЕшщ
Предмет: Литература,
автор: yuliayuliaapan