Предмет: Математика,
автор: LolisPopis
Срочно!
Помогите пожалуйста!
Решение нужно обязательно!
Приложения:
Ответы
Автор ответа:
1
Любое число после раскрытия модуля будет положительным
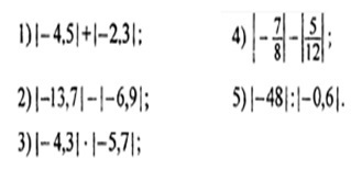
1) |-4,5|+|-2,3| =4,5+2,3=6,8
2)|-13,7| - |-6,9| =13,7-6,9=6,8
3) |-4,3|*|-5,7| = 4,3*5,7= 24,51
4) |-7/8|-|5/12|= 7/8-5/12=21/24 -10/24=11/24
5) |-48|:|-0,6|= 48:0,6= 80
1) |-4,5|+|-2,3| =4,5+2,3=6,8
2)|-13,7| - |-6,9| =13,7-6,9=6,8
3) |-4,3|*|-5,7| = 4,3*5,7= 24,51
4) |-7/8|-|5/12|= 7/8-5/12=21/24 -10/24=11/24
5) |-48|:|-0,6|= 48:0,6= 80
Похожие вопросы
Предмет: Алгебра,
автор: ibragimovaalina386
Предмет: Английский язык,
автор: kamillatujkeldina
Предмет: Химия,
автор: dianchik45000x
Предмет: Математика,
автор: ЛизaLove
Предмет: Математика,
автор: katyafedkina