Предмет: Математика,
автор: alinapus204
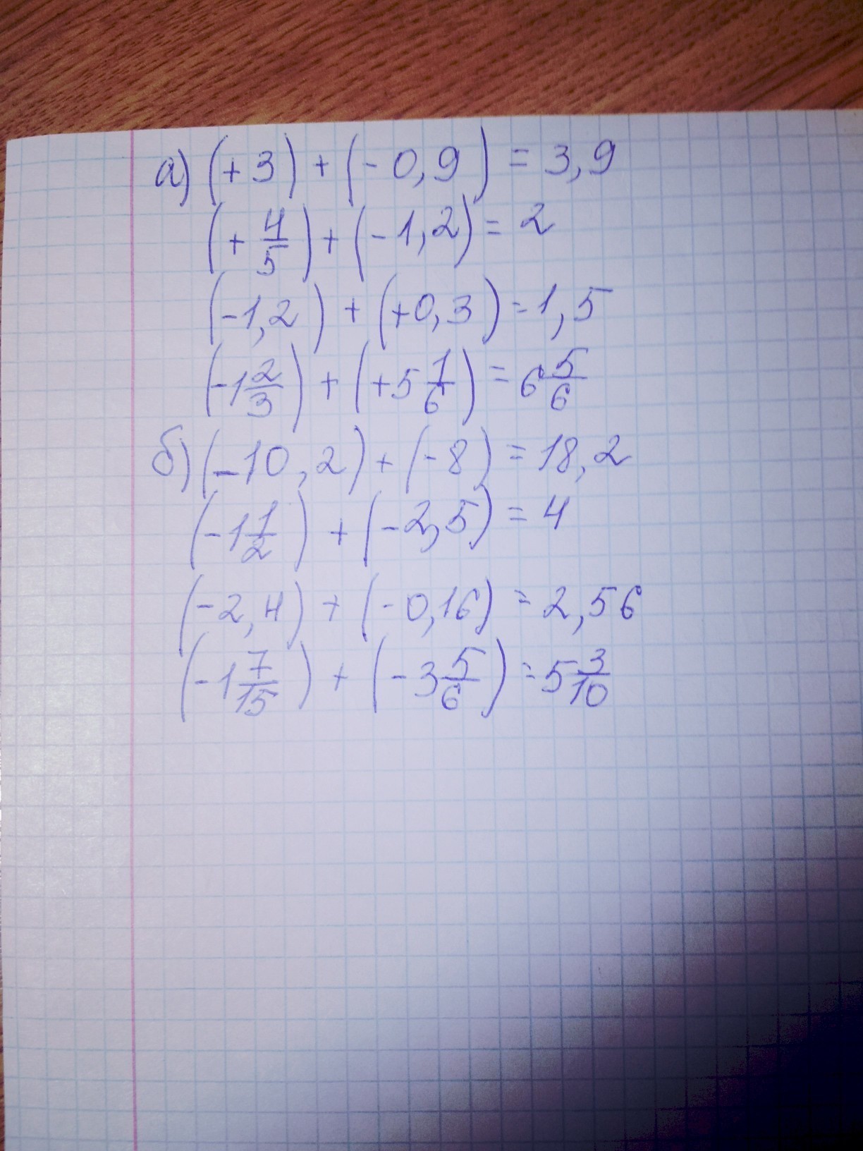
Решите номер 432 первые два столбика. Заранее спасибо
Приложения:
Ответы
Автор ответа:
1
вот , держи
я могу прислать подробное решение если нужно
я могу прислать подробное решение если нужно
Приложения:
Похожие вопросы
Предмет: География,
автор: smamarko200934
Предмет: Алгебра,
автор: andrianastark35
Предмет: Химия,
автор: ilyalisickii06
Предмет: Математика,
автор: ядро2
Предмет: Математика,
автор: Nastya2287667