Предмет: Математика,
автор: lub87
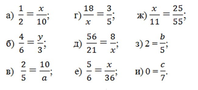
Найдите значение каждой буквы, при котором верно равенство. Выберите правильную строку ответов в соответствии 1-а), 2-б) и тд.
Приложения:
Ответы
Автор ответа:
0
прибыл как гооырараор
Похожие вопросы
Предмет: Литература,
автор: servatinskijivan333
Предмет: Математика,
автор: Eoshsieorjrji
Предмет: История,
автор: natalochkann316535
Предмет: Геометрия,
автор: lopy1