Предмет: Алгебра,
автор: anyalom97
Разложите на множители:
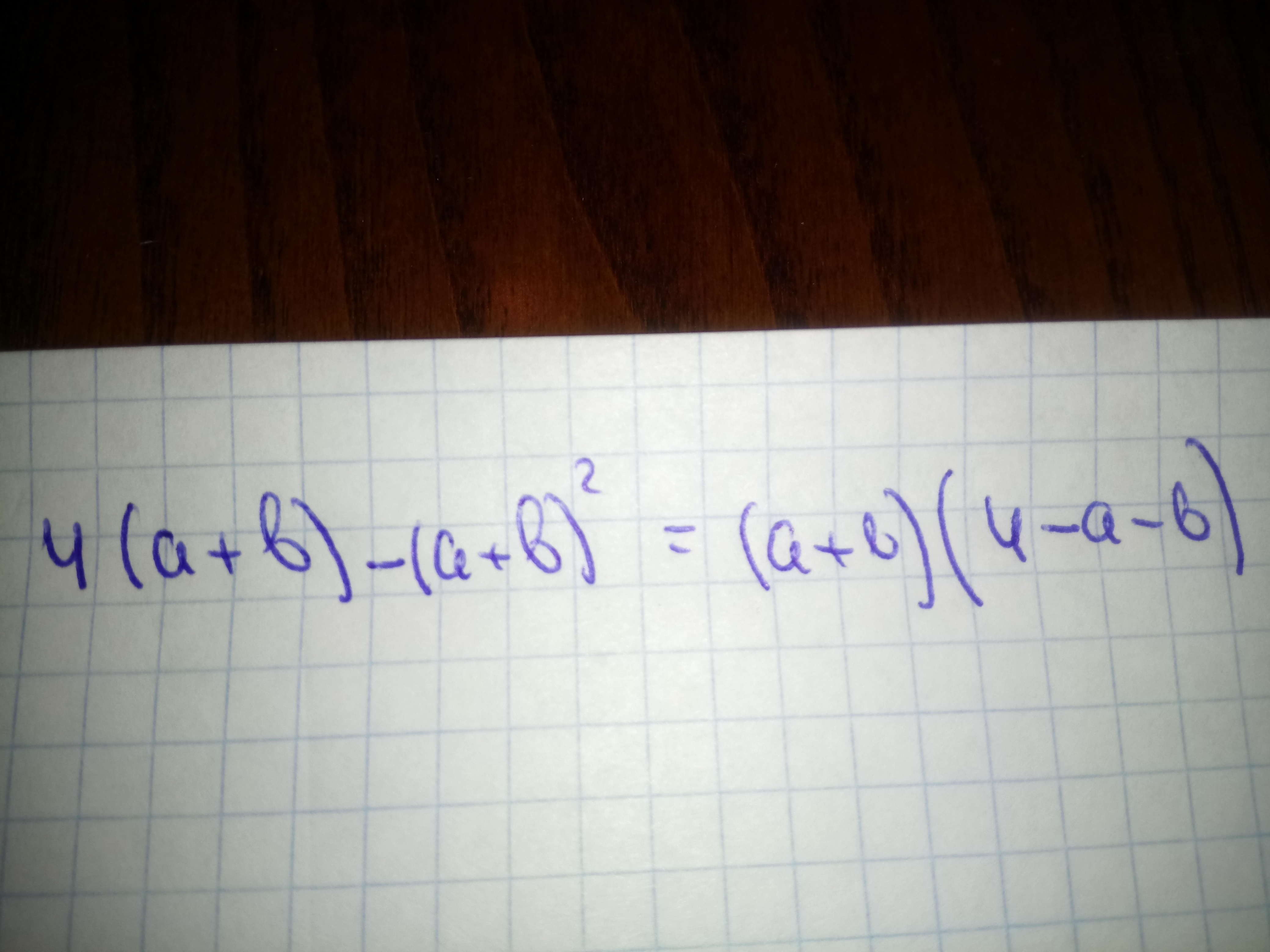
4(а+b)-(a+b)^2
даю 15 баллов
Ответы
Автор ответа:
2
Решение задания приложено
Приложения:
Автор ответа:
0
4(а+b)-(a+b)^2;
(а+b)*(4-(a+b));
(а+b)*(4-a-b);
Ответ : (а+b)*(4-a-b)
Похожие вопросы
Предмет: Русский язык,
автор: xxxMPxxx0280
Предмет: Окружающий мир,
автор: mihatop33
Предмет: Алгебра,
автор: Аноним
Предмет: Биология,
автор: kavasmolokom
Предмет: Биология,
автор: нрага