Предмет: Алгебра,
автор: viktoriakislyak
lim
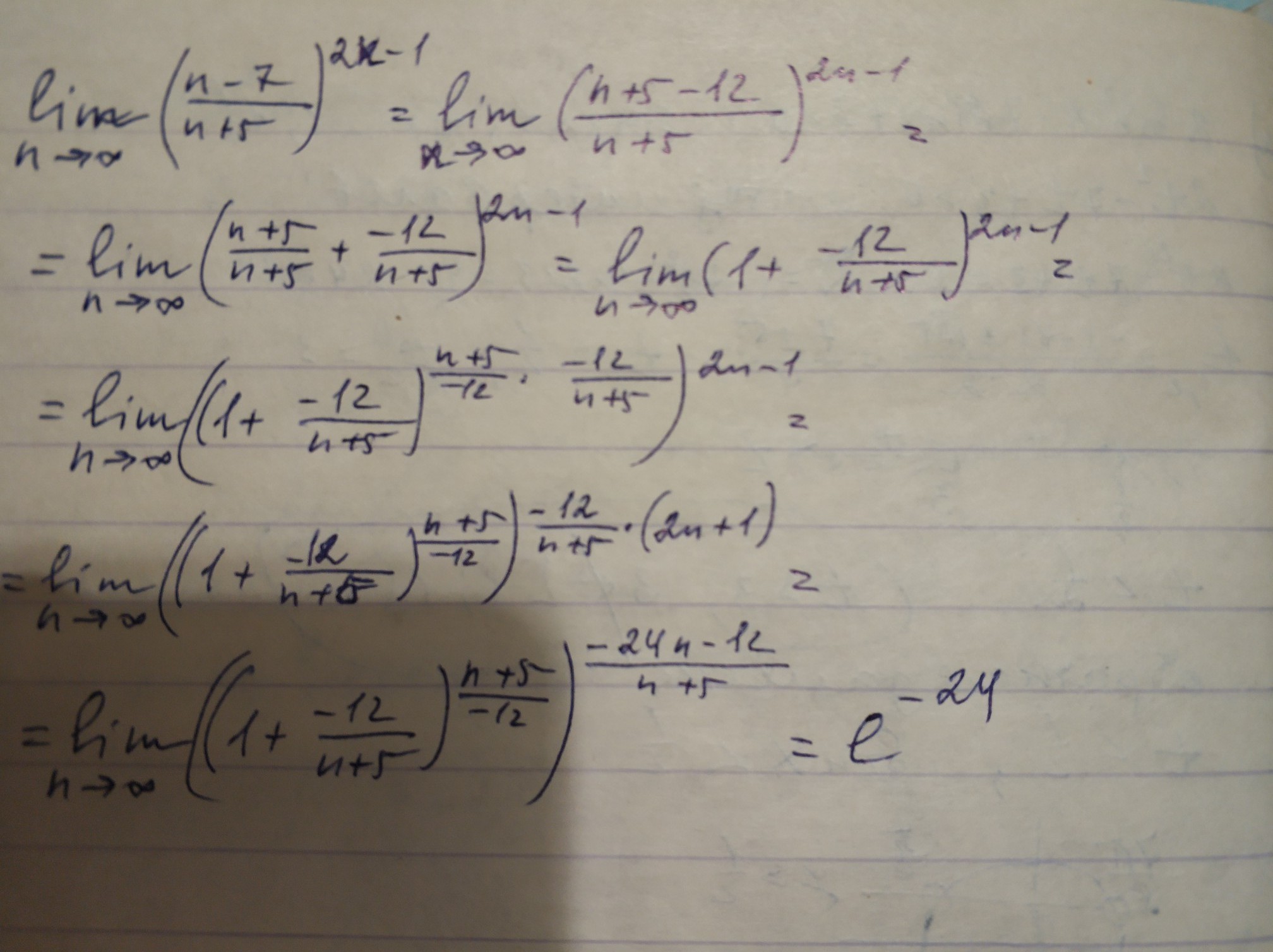
x--->∝(n-7)/(n+5)^2n-1
kirichekov:
переменные х и n? или х и х? или n и n?
Ответы
Автор ответа:
0
решение во вложении.....
Приложения:
Похожие вопросы
Предмет: Математика,
автор: ddduiop
Предмет: Алгебра,
автор: nikakaprava
Предмет: Геометрия,
автор: Аноним
Предмет: Математика,
автор: Аноним
Предмет: Математика,
автор: Danat2005Saduev