Предмет: Алгебра,
автор: milka2567
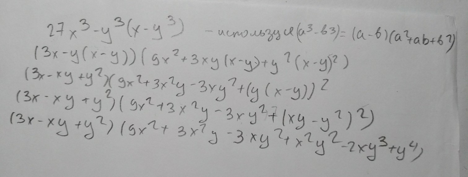
27х^3-у^3(х-у)^3 разложите множители на многочлен
Плииииз
Приложения:
Ответы
Автор ответа:
1
Вроде правильно.Но ето не точно
Приложения:
milka2567:
спасибки
Похожие вопросы
Предмет: Математика,
автор: DavidHay7501
Предмет: География,
автор: kelly2404
Предмет: Литература,
автор: eligard6430
Предмет: Математика,
автор: Аноним
Предмет: Алгебра,
автор: Аля673