Предмет: Алгебра,
автор: renatmurtazin123
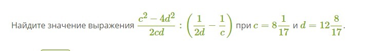
Найдите значение выражения
Приложения:
Ответы
Автор ответа:
1
Смотри........................
Приложения:
Похожие вопросы
Предмет: История,
автор: ieonovaanna149
Предмет: Математика,
автор: poltavskyyaroslav
Предмет: Математика,
автор: dianabarkar91
Предмет: Физика,
автор: AngryTanyusha