Предмет: Алгебра,
автор: ilinahanna
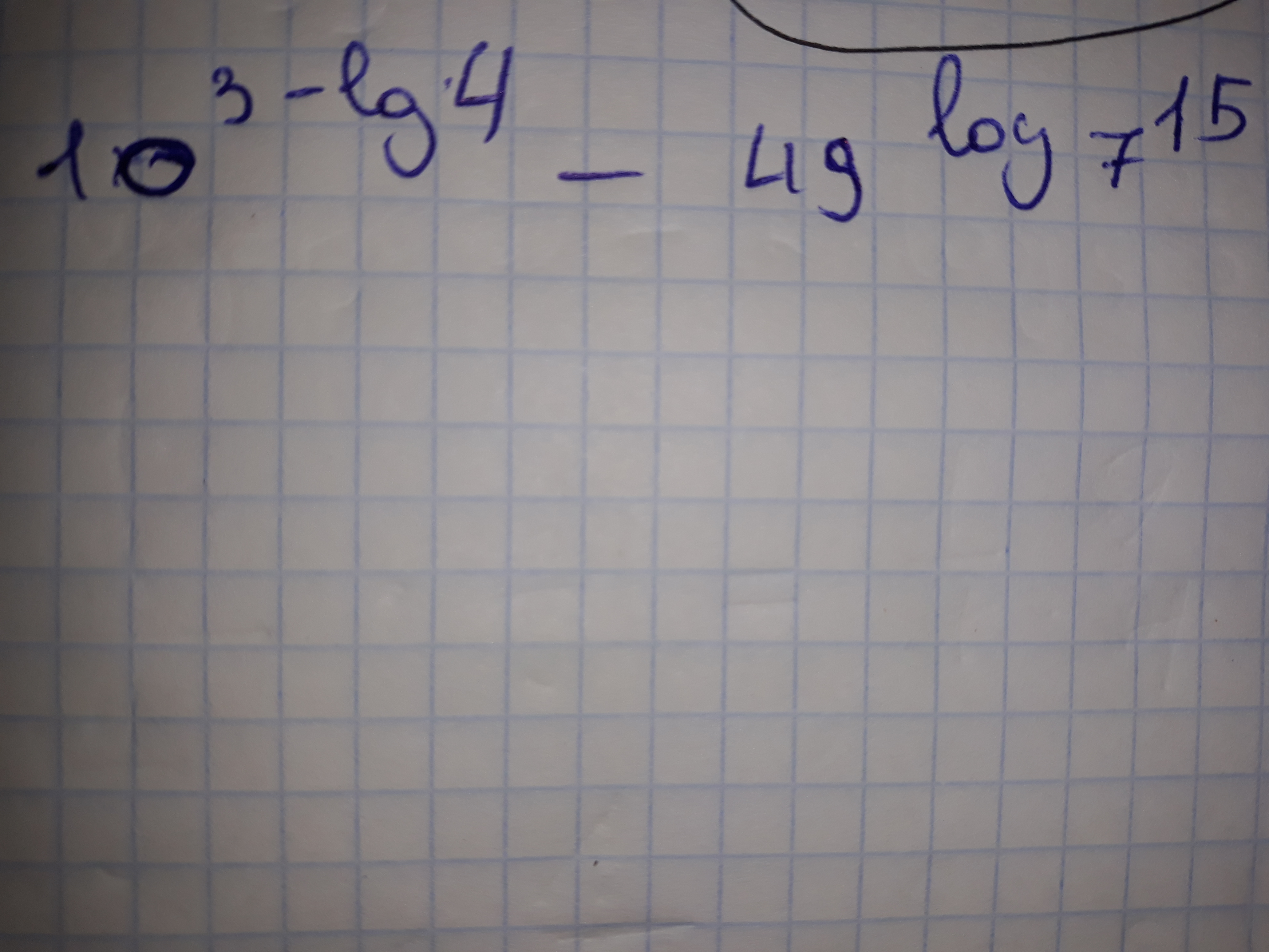
Помогите срочно решить
Приложения:
Ответы
Автор ответа:
0
!!!!!!!!!!!!!!!!!!!!!!!!!
Приложения:
Похожие вопросы
Предмет: Математика,
автор: dansukhovii
Предмет: Математика,
автор: bahirevr
Предмет: Математика,
автор: izevskiy2019
Предмет: Математика,
автор: tatyatatya
Предмет: История,
автор: Настбшка