Предмет: Алгебра,
автор: ovosfruktovyj582
Возведение в квадрат и в куб суммы и разности двух выражений.
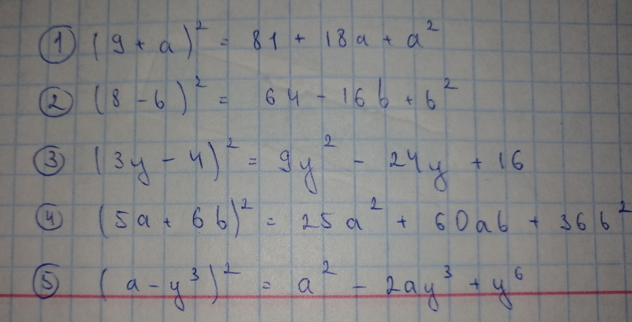
1) (9+а)²
2) (8-b)²
3) (3y-4)²
4) (5a+6b)²
5) (a-y³)²
Ответы
Автор ответа:
1
.......................
Приложения:
Похожие вопросы
Предмет: Математика,
автор: vaseninakarol
Предмет: Русский язык,
автор: bebrochkazxc
Предмет: Биология,
автор: 2kiborg
Предмет: Литература,
автор: димасАдидас777
Предмет: Математика,
автор: КекЛолТамблер