Предмет: Математика,
автор: ivan4889
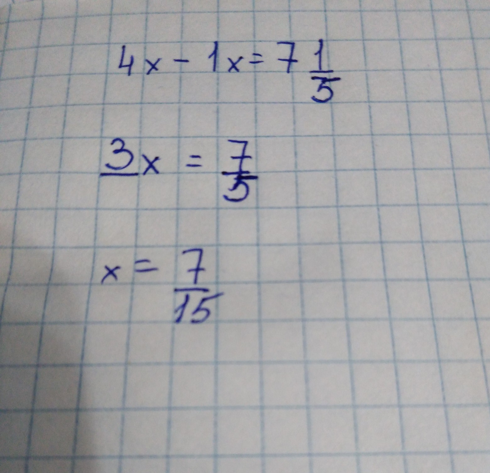
Уравнение решите пожалуйста 4x-1x=7одна пятая
Ответы
Автор ответа:
0
Вот решение. ........
Приложения:
Похожие вопросы
Предмет: Физика,
автор: koallakoallovna
Предмет: Английский язык,
автор: privet5797
Предмет: Физика,
автор: Аноним
Предмет: Математика,
автор: NadyaFedoseeva04