Предмет: Алгебра,
автор: roma1137
Умоляю надо очень я вас прошу я вам потом помогу.
Приложения:
Ответы
Автор ответа:
1
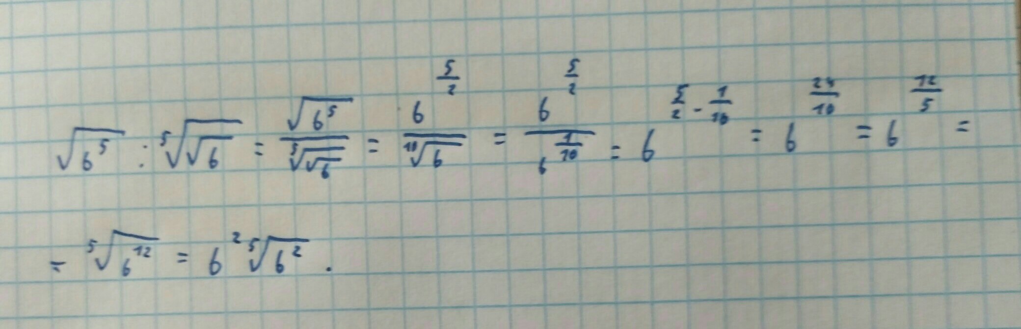
Решение и ответ во вложении.
Приложения:
Автор ответа:
1
Смотри................
Приложения:
Похожие вопросы
Предмет: Химия,
автор: Sn1ppy12
Предмет: Математика,
автор: Аноним
Предмет: Физика,
автор: danyalopatin04
Предмет: Геометрия,
автор: selion420