Предмет: Математика,
автор: kamillakuz
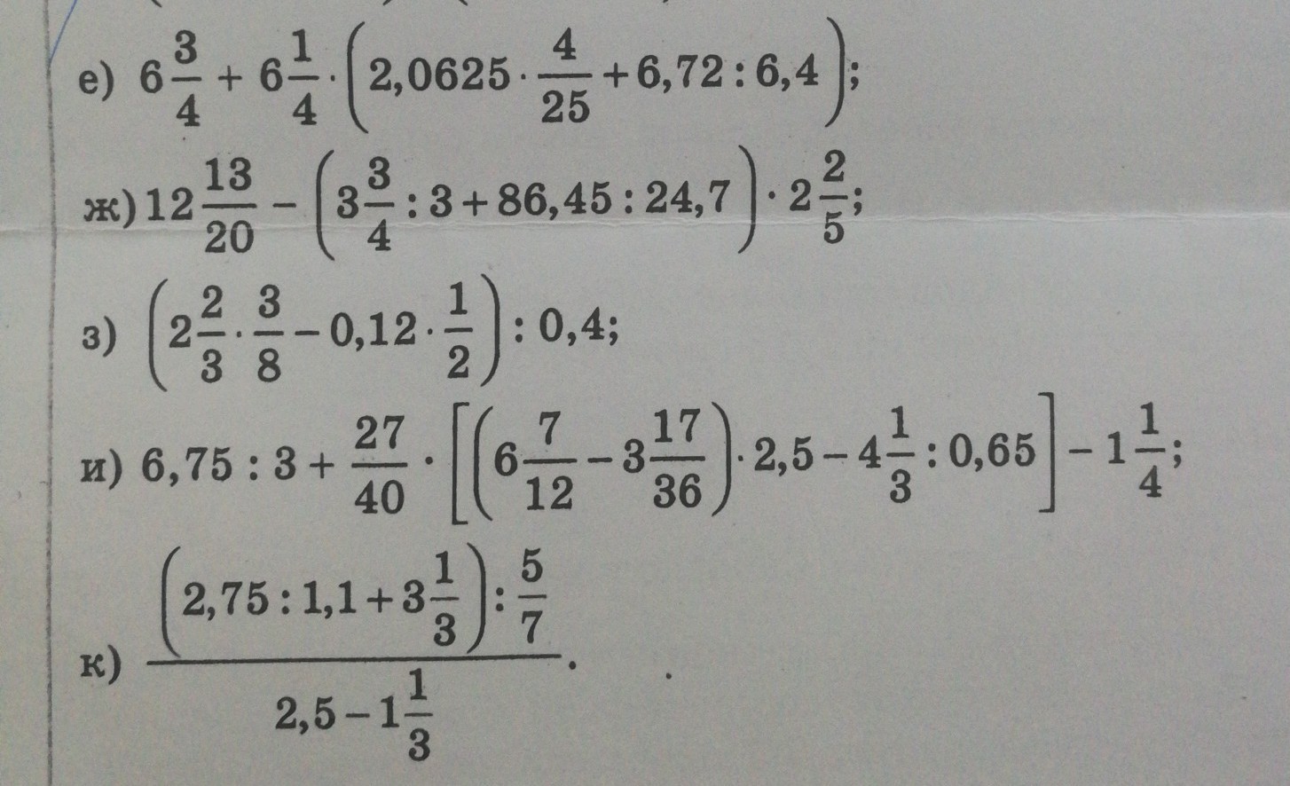
ПОЖАЛУЙСТА ПОМОГИТЕ, ОЧЕНЬ НУЖНО! МАТАН 6 КЛАСС
Приложения:
tatsach:
Все?
хотя бы пару примеров
Ответы
Автор ответа:
1
Ответ:
Пошаговое объяснение:
Приложения:
Похожие вопросы
Предмет: Биология,
автор: nikkitos333
Предмет: Математика,
автор: glusukdiana3
Предмет: Математика,
автор: hhdhsii17
Предмет: Математика,
автор: op201401
Предмет: Алгебра,
автор: максим921