Предмет: Математика,
автор: koroleva0706
решите уровнение дам 25 баллов
Приложения:
Ответы
Автор ответа:
0
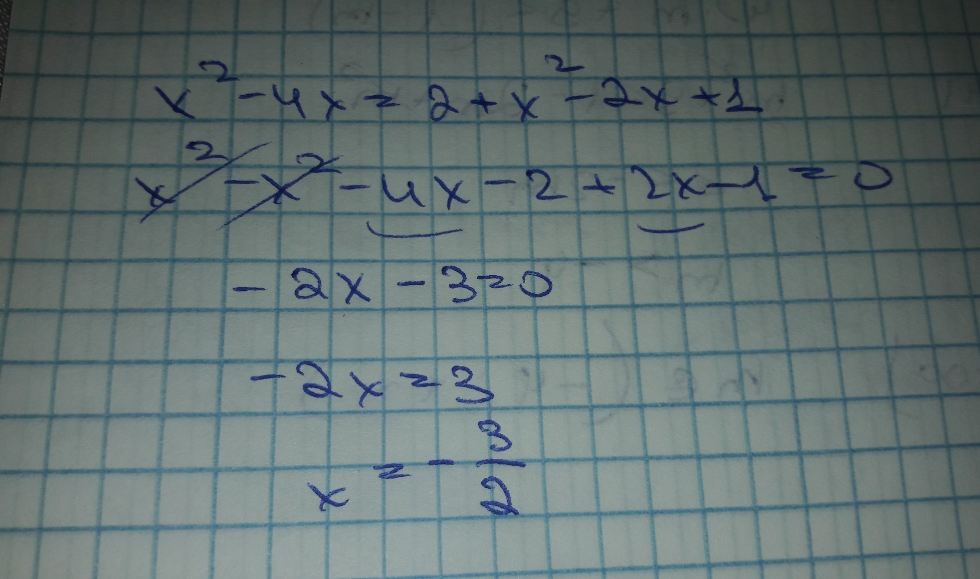
во вложении ответ смотри
Если помогла с решением, отметь как лучшее )
Если помогла с решением, отметь как лучшее )
Приложения:
Автор ответа:
0
Ответ:
сократить равные члены обеих частей уравнения
-4х=2-2х+1
сложить числа
-4х=3-2х
перенести неизвестную левую часть и сменить ее знак
-4х+2х=3-2х+2х
сократить противоположные выражения
-4х+2х=3
привести подобные члены
-4х+2х=3
сгруппировать подобные члены вычислив сумму и разность их коэффицентов
(-4+2)х
вычислить сумму -2х=3
разделить обе части уравнения на -2
х = - три вторых
можешь решить в photomath
Пошаговое объяснение:
Похожие вопросы
Предмет: Физика,
автор: makskhrapko777
Предмет: Математика,
автор: vinnikovmaksim652
Предмет: Математика,
автор: Аноним
Предмет: Право,
автор: enderrock84
Предмет: Физика,
автор: МарсельН2005