Предмет: Алгебра,
автор: vityasuhofrukt
Помогите пожалуйста
Приложения:
mihasavchenko466:
Вам надо было разложить или сократить?
Отдельно разделены
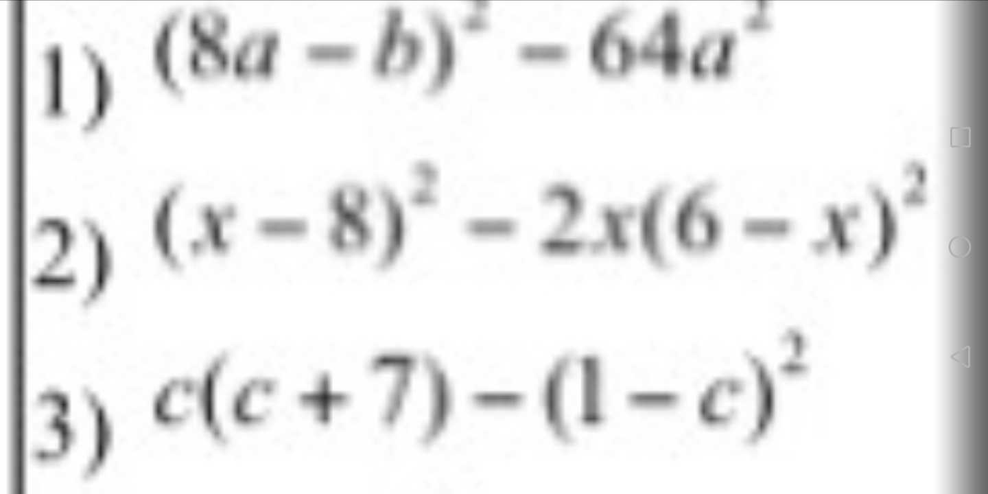
Упростить
(a-b)²=a²-2ab+b²
Отметьте лучший ответ на ваш взгляд.Вам за это вернут часть баллов
Ответы
Автор ответа:
0
1.(8a-b)²-64a²=64a²-b²-64a²= -b²
2.(x-8)²-2x(6-x)²=x²-64+(-12x-2x²)²=x-64-144x²-4x⁴
3.c(c+7)-(1-c)²=c²+7c-(1-c²)=c²+7c-1+c²=2c²+7c-1
(a-b)²=a²-2ab+b² ты ошибся
Похожие вопросы
Предмет: Физика,
автор: Akhmadulina
Предмет: Французский язык,
автор: ilatracuk580
Предмет: Математика,
автор: marianoskova881
Предмет: Математика,
автор: g1y33
Предмет: Математика,
автор: варвара2008