Предмет: Математика,
автор: danel40
.....................
Приложения:
Ответы
Автор ответа:
1
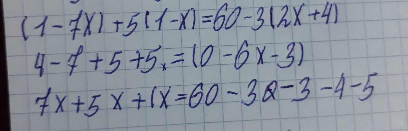
1-7x+5-5x=60-6x-12
-7x-5x+6x=60-12-1-5
-6x=42
x=-7
4-7+5+5x=-6x-3
4-7+5+3=-6x-5x
5=-11x
11x=-5

7x+5x+x=60-30-3-4-5
13x=18
x=

Не знаю что за ответы , может просто подчерк не понял.
-7x-5x+6x=60-12-1-5
-6x=42
x=-7
4-7+5+5x=-6x-3
4-7+5+3=-6x-5x
5=-11x
11x=-5
7x+5x+x=60-30-3-4-5
13x=18
x=
Не знаю что за ответы , может просто подчерк не понял.
LoadingSE:
А так правильно
Хорошо, спасибо большое)
Похожие вопросы
Предмет: Математика,
автор: danaerlankyzy2010
Предмет: Русский язык,
автор: Аноним
Предмет: Алгебра,
автор: Аноним
Предмет: Алгебра,
автор: elmanlezgin
Предмет: Математика,
автор: lilysadd