Предмет: Математика,
автор: seva527
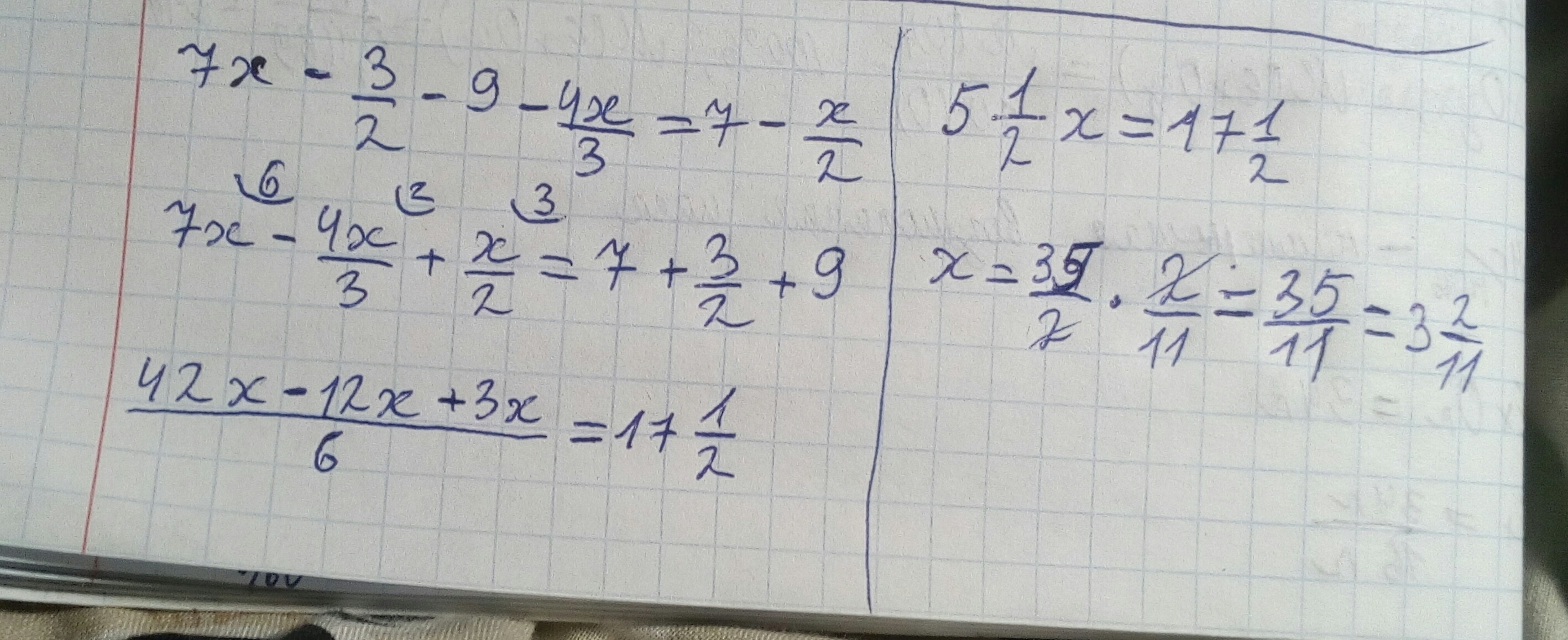
4) 7x -3/2-9-4x/3=7-x/2.
Ответы
Автор ответа:
2
Ответ во вложении)))
Приложения:
Похожие вопросы
Предмет: Литература,
автор: saranaaanna
Предмет: Литература,
автор: saranaaanna
Предмет: Алгебра,
автор: Аноним
Предмет: Алгебра,
автор: пиналпенал
Предмет: Литература,
автор: лера1268