Предмет: Алгебра,
автор: Аноним
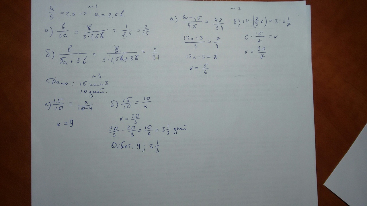
ПОМОГИТЕ ПЖ. БУДУ ОЧЕНЬ БЛАГОДАРНА. Решить все правильно и четко. Задания на фото.
Желательно сделать на листочке.
Приложения:
Аноним:
Если сложно, сделайте хотя бы одно
Ответы
Автор ответа:
0
Ответ на фото...........................
Приложения:
Похожие вопросы
Предмет: Математика,
автор: lila6794
Предмет: Математика,
автор: fueradel9620
Предмет: Математика,
автор: jhfsdj1866
Предмет: История,
автор: Youcach
Предмет: Обществознание,
автор: ленок19971