Предмет: Математика,
автор: Dupapa200
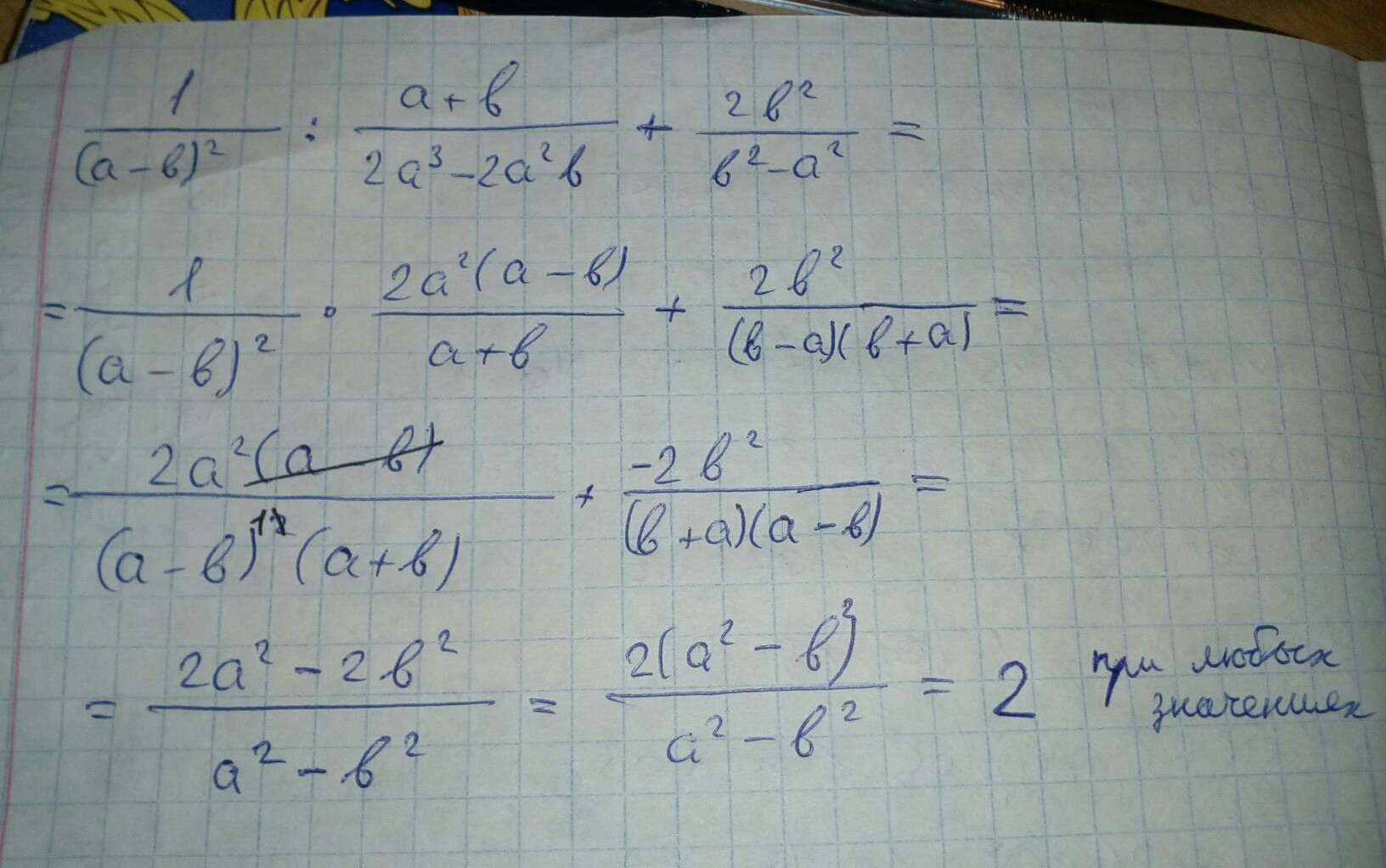
Помогите пожалуйста с этим
Приложения:
Ответы
Автор ответа:
0
Ответ на фото.
Если какой момент непонятен спрашивайте
Если какой момент непонятен спрашивайте
Приложения:
Похожие вопросы
Предмет: Математика,
автор: Klimargo9192
Предмет: Математика,
автор: Rtyg1245
Предмет: Математика,
автор: suicdeboy4528
Предмет: Математика,
автор: Аноним