Предмет: Алгебра,
автор: 22Шпрот22
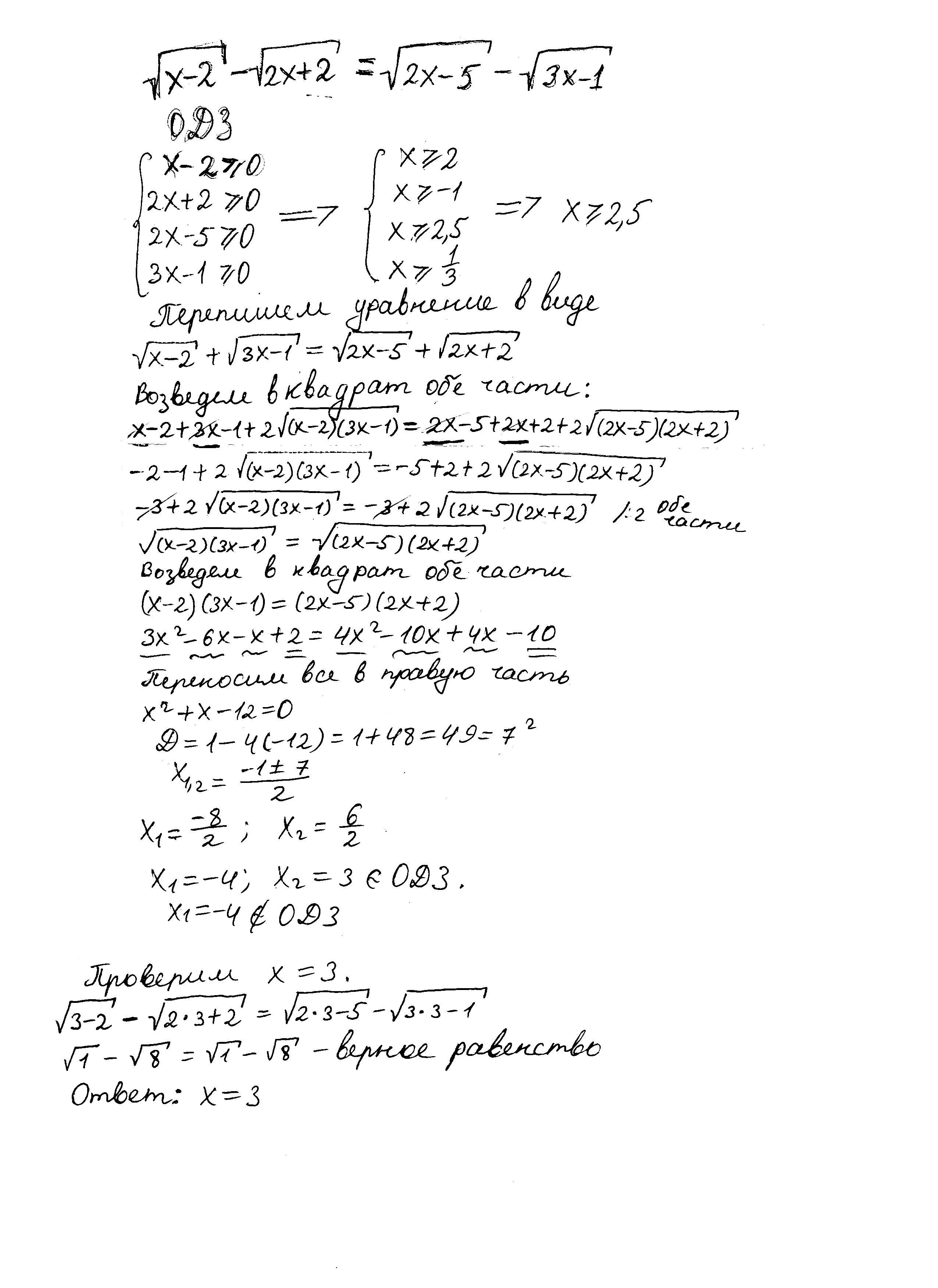
√(x-2)-√(2x+2)=√(2x-5)-√(3x-1)
bearcab:
х=3
Ответы
Автор ответа:
2
Ответ: х=3. Решение в приложении, должно быть понятно
Приложения:
Похожие вопросы
Предмет: Математика,
автор: kartamishiev1149
Предмет: Алгебра,
автор: entropic8443
Предмет: Русский язык,
автор: Gamer3591
Предмет: Алгебра,
автор: marina142228