Предмет: Алгебра,
автор: annaantonova0
Помогите пожалуйста!
Приложения:
Ответы
Автор ответа:
0
Халооооооооорооооорооорррррррр
Приложения:
Автор ответа:
1
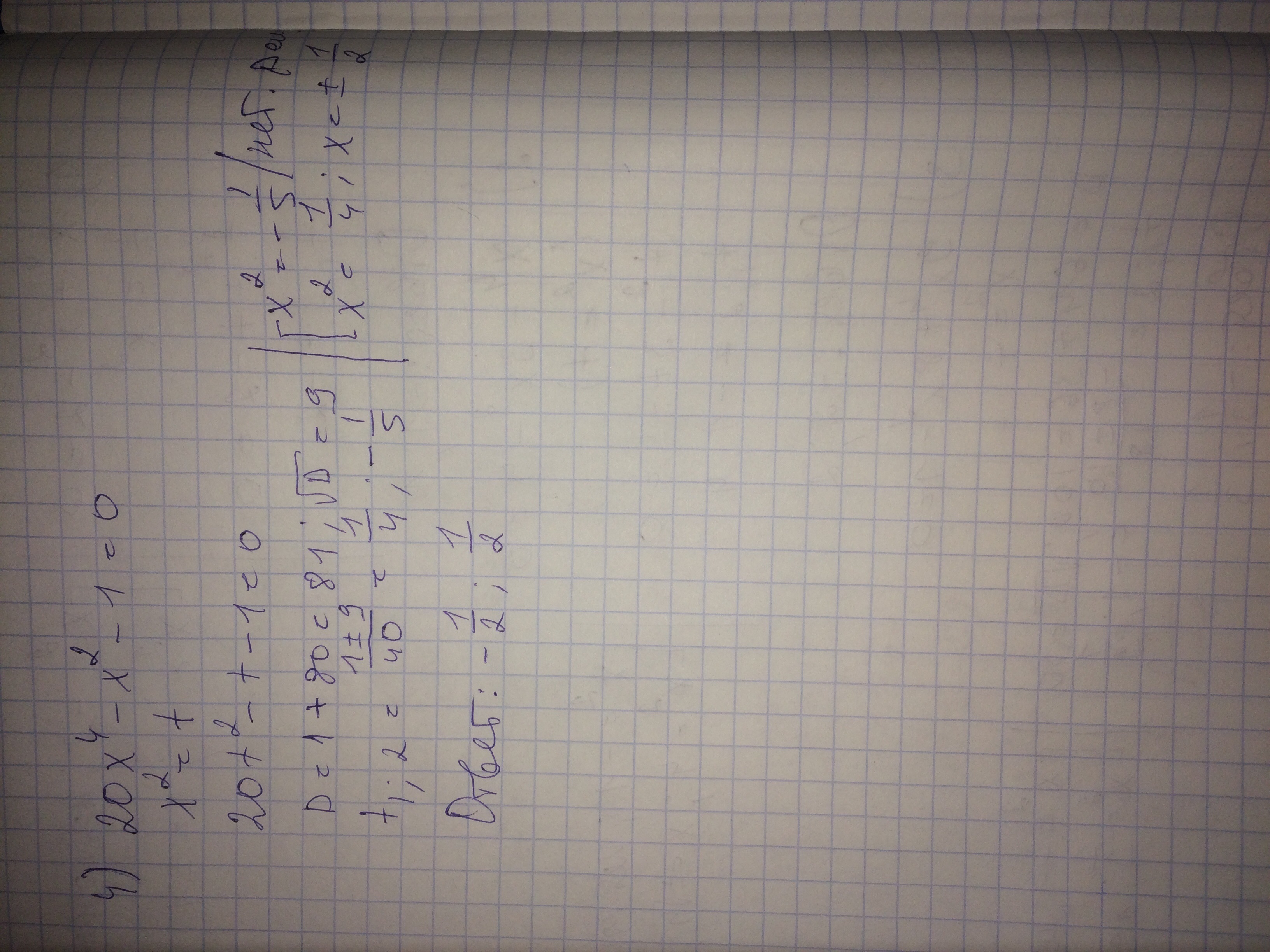
Решение во вложении:
Приложения:
Похожие вопросы
Предмет: Математика,
автор: zoom777gg
Предмет: Химия,
автор: 232065
Предмет: Окружающий мир,
автор: Аноним
Предмет: Алгебра,
автор: elenaguniavaia
Предмет: Математика,
автор: max19811