Предмет: Физика,
автор: bovelkovnikita35
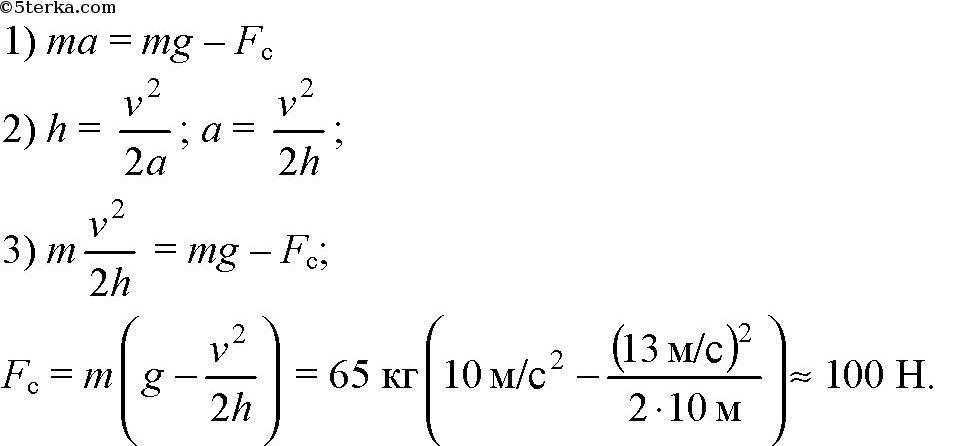
Спортсмен массой 65 кг, прыгая с десятиметровой вышки, входит в воду со скоростью 13 м/с. Найти среднюю силу сопротивления воздуха. Помогите пожалуйста, прошу
Ответы
Автор ответа:
4
Дано:
h=10м
m=65кг
v₀=0
v=13м/с
Найти: Fc=?
Решение:
Приложения:
Автор ответа:
1
По ЗСЭ Епот=Екин+Ас, mgh=mv²/2+Fc*h, Fc=mg-mv²/2h=65(10-13²/20)≈101H
Похожие вопросы
Предмет: Математика,
автор: Evelina529
Предмет: Математика,
автор: ulanavitaliivna
Предмет: Математика,
автор: deniskatopj
Предмет: Математика,
автор: galyaninalexan