Предмет: Алгебра,
автор: lehaprivalov04
Помогите пж, срочно надо, в долгу не останусь, (пссс. 37 балов)
Приложения:
Ответы
Автор ответа:
0
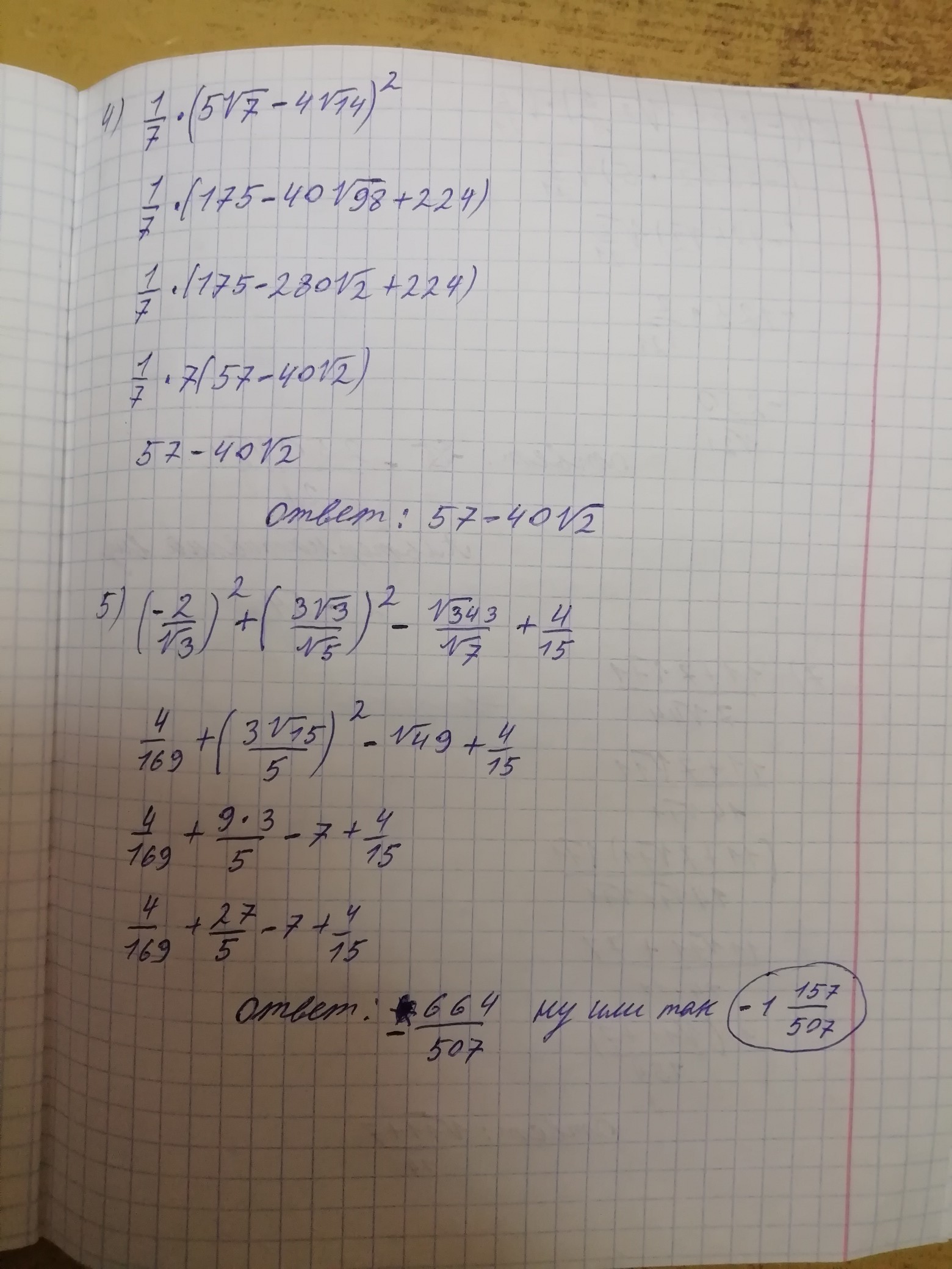
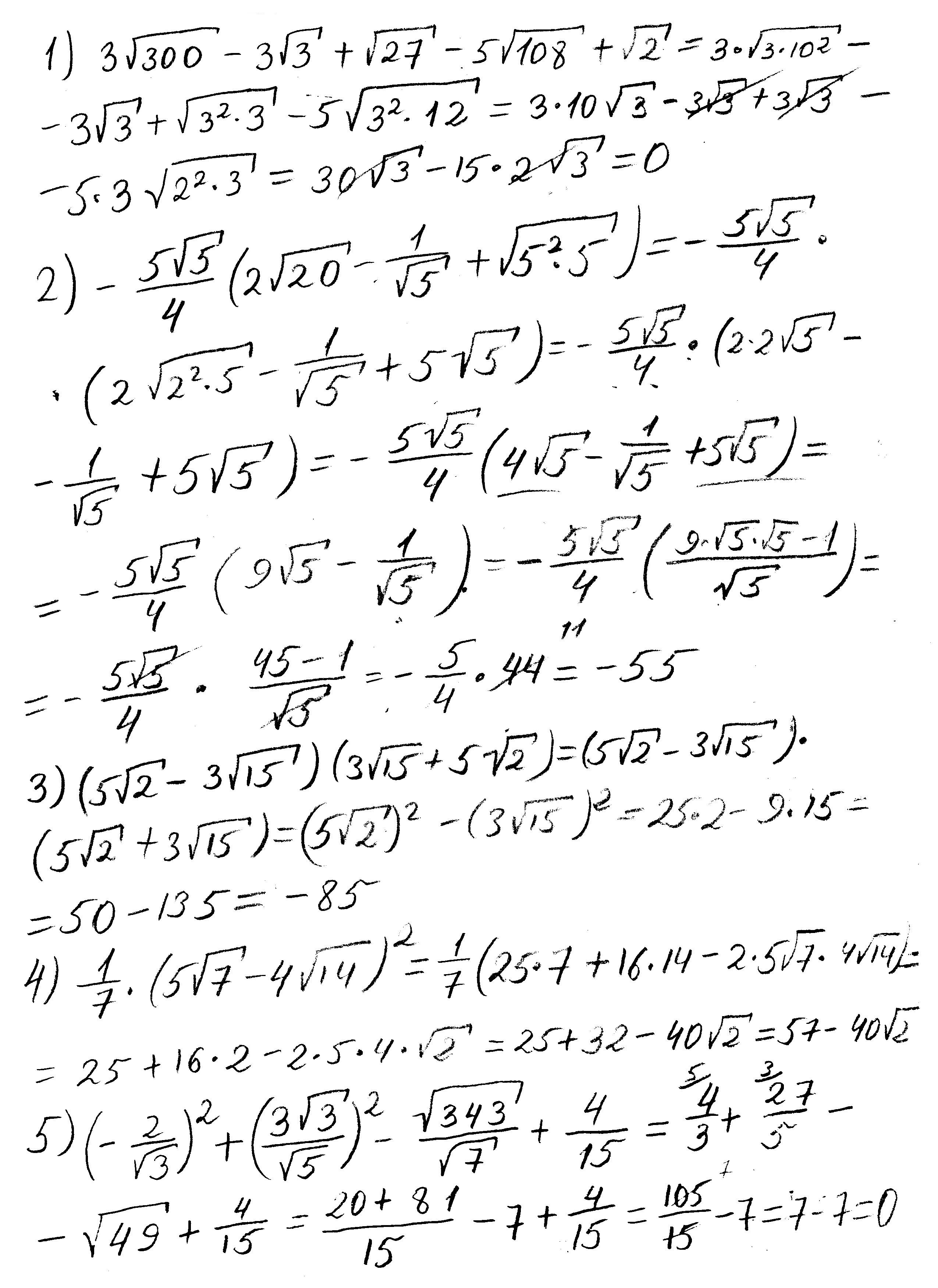
Вот вроде так. Гыыыыыы!
Приложения:
Автор ответа:
0
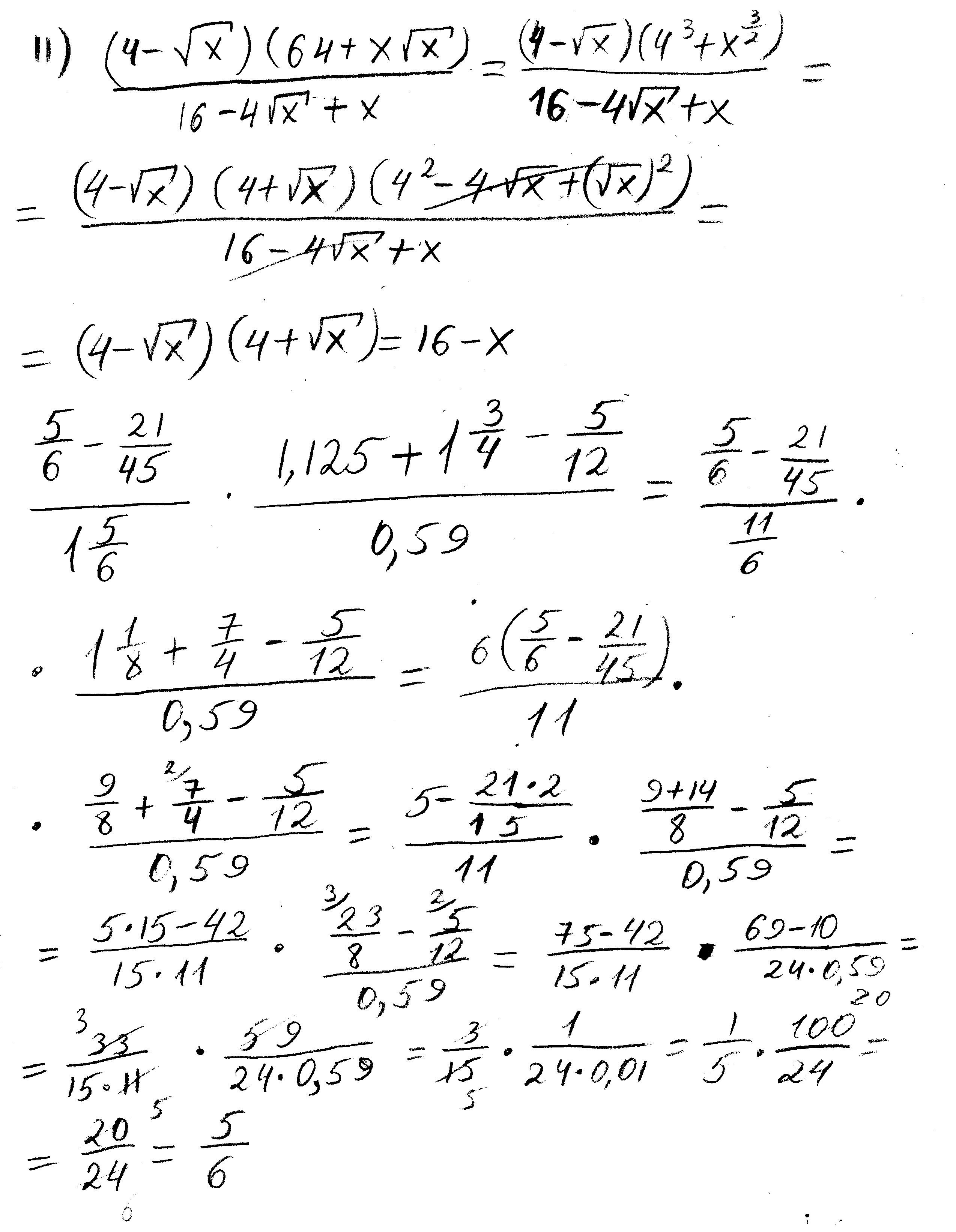
Решение в приложении. Должно быть понятно
Приложения:
Похожие вопросы
Предмет: История,
автор: NikitosKing
Предмет: Математика,
автор: egorisuk21
Предмет: Українська мова,
автор: ustina1211layla
Предмет: География,
автор: Vika7VV
Предмет: Литература,
автор: ярослав187