Предмет: Алгебра,
автор: savyrini7
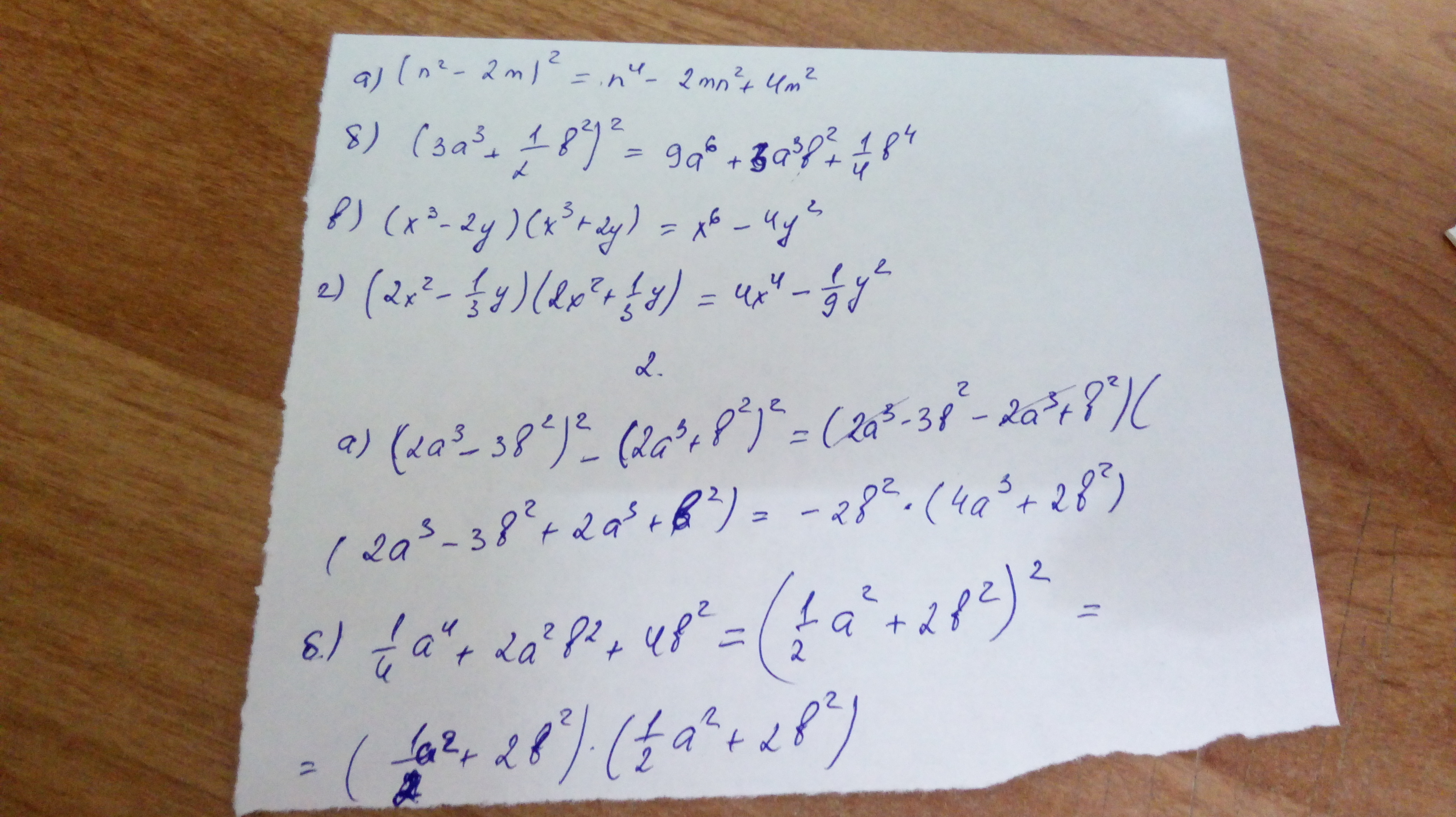
Решите плез все)Прошу срочно)))
Приложения:
Ответы
Автор ответа:
1
У меня не очень разборчивый почерк, но думаю, вы разберетесь!
Приложения:
Похожие вопросы
Предмет: Английский язык,
автор: 2010timurstaranda
Предмет: Русский язык,
автор: grafor135
Предмет: Биология,
автор: vtaranenko929
Предмет: Биология,
автор: Аноним