Предмет: Алгебра,
автор: gordeygrinevp92nkm
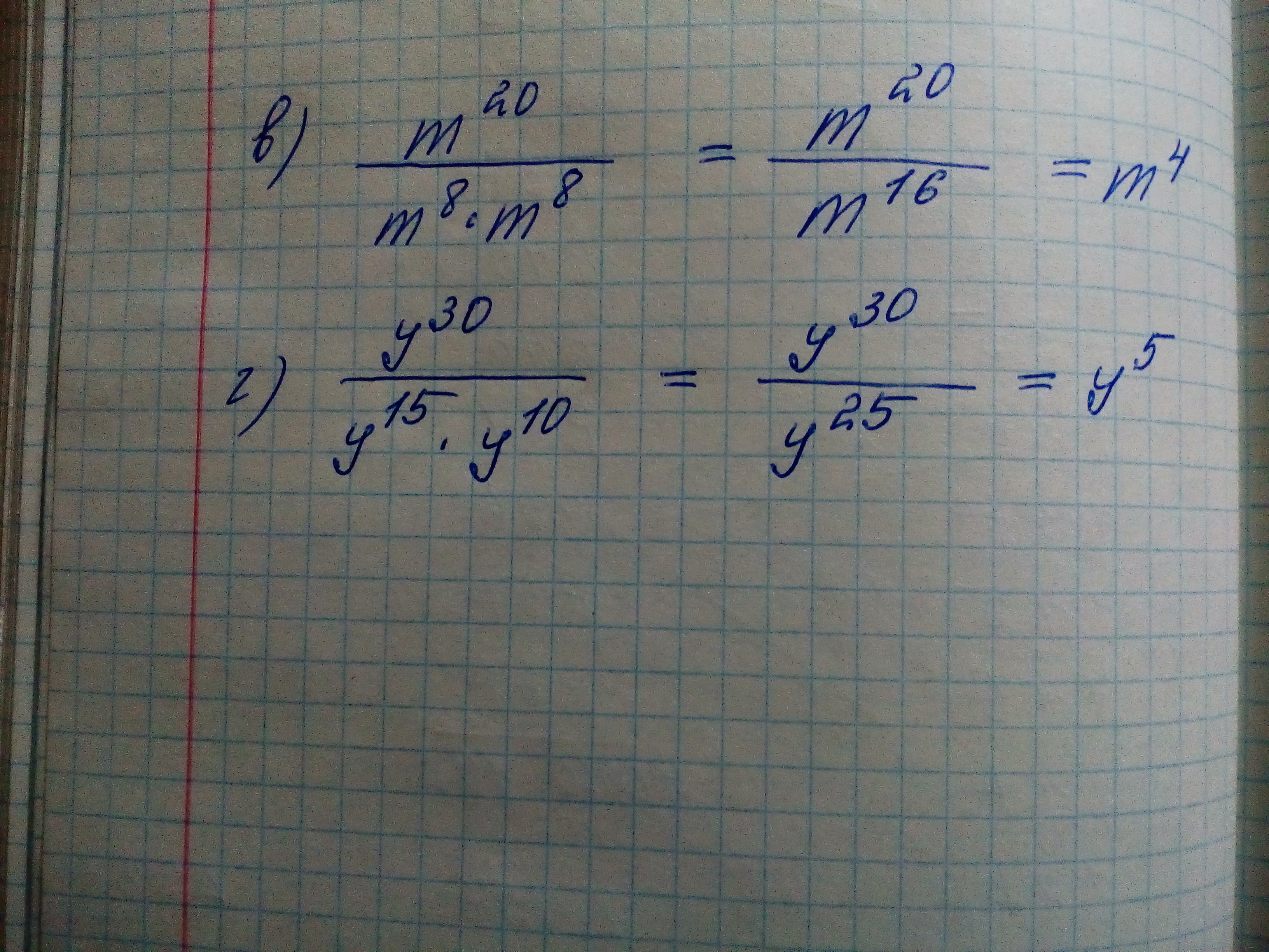
Упростите выражения (в, г)
Приложения:
Ответы
Автор ответа:
0
!!!!!!!!!!!!!!!!!!!!!!!!!
Приложения:
Похожие вопросы
Предмет: Английский язык,
автор: 78th4vyz2f
Предмет: Математика,
автор: karpenkodmitro2008
Предмет: Английский язык,
автор: AlysiyaNik
Предмет: Математика,
автор: ruty777
Предмет: Математика,
автор: hahahalol