Предмет: Математика,
автор: rozhko05
Помогите найти.Срочно!
Приложения:
Ответы
Автор ответа:
0
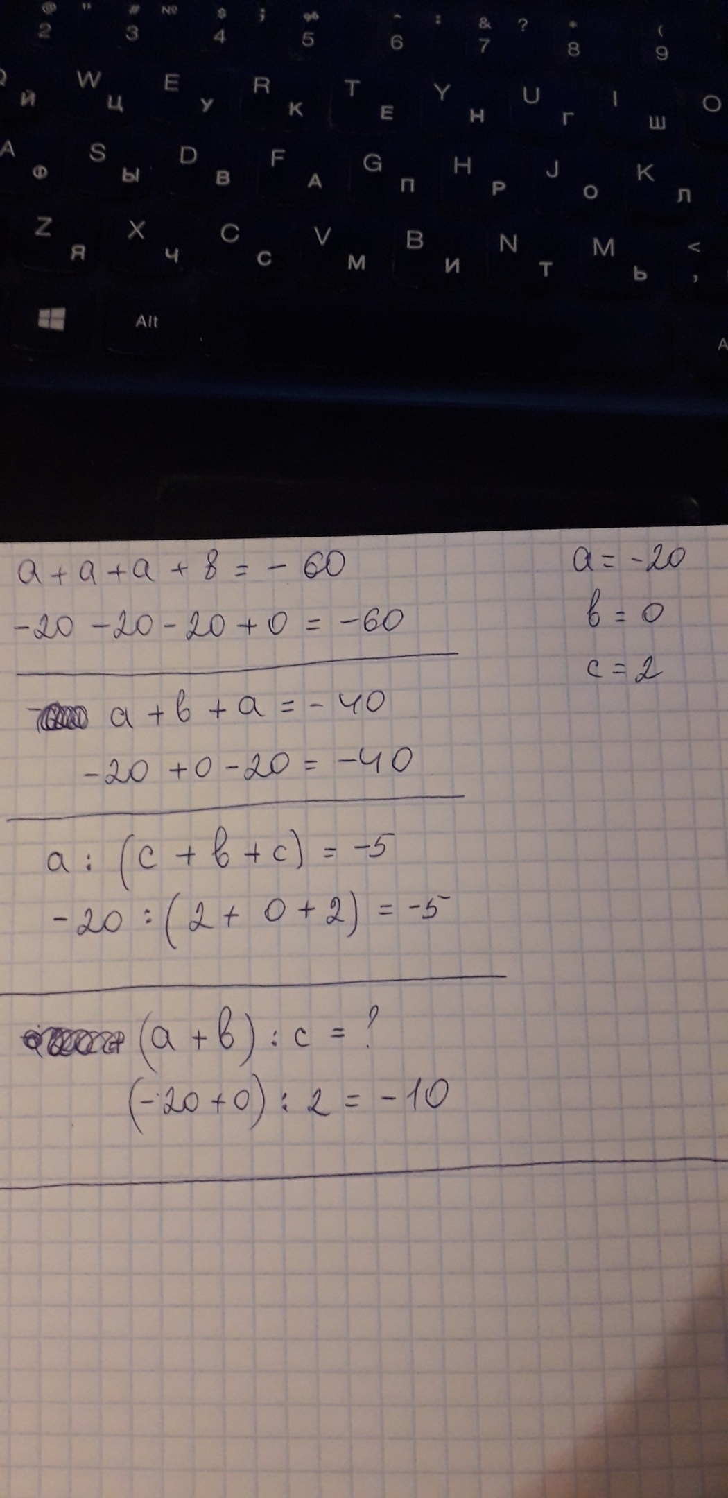
Ответ:
Пошаговое объяснение:
достаточно включить логику)
Приложения:
Похожие вопросы
Предмет: География,
автор: alianagrande41
Предмет: География,
автор: daniellebourbonnais
Предмет: Алгебра,
автор: angelinaivl
Предмет: Математика,
автор: Anastasiacim
Предмет: Физика,
автор: Аноним