Предмет: Математика,
автор: Hormee
просто напишите ответы под каждой буквой. Спасибо
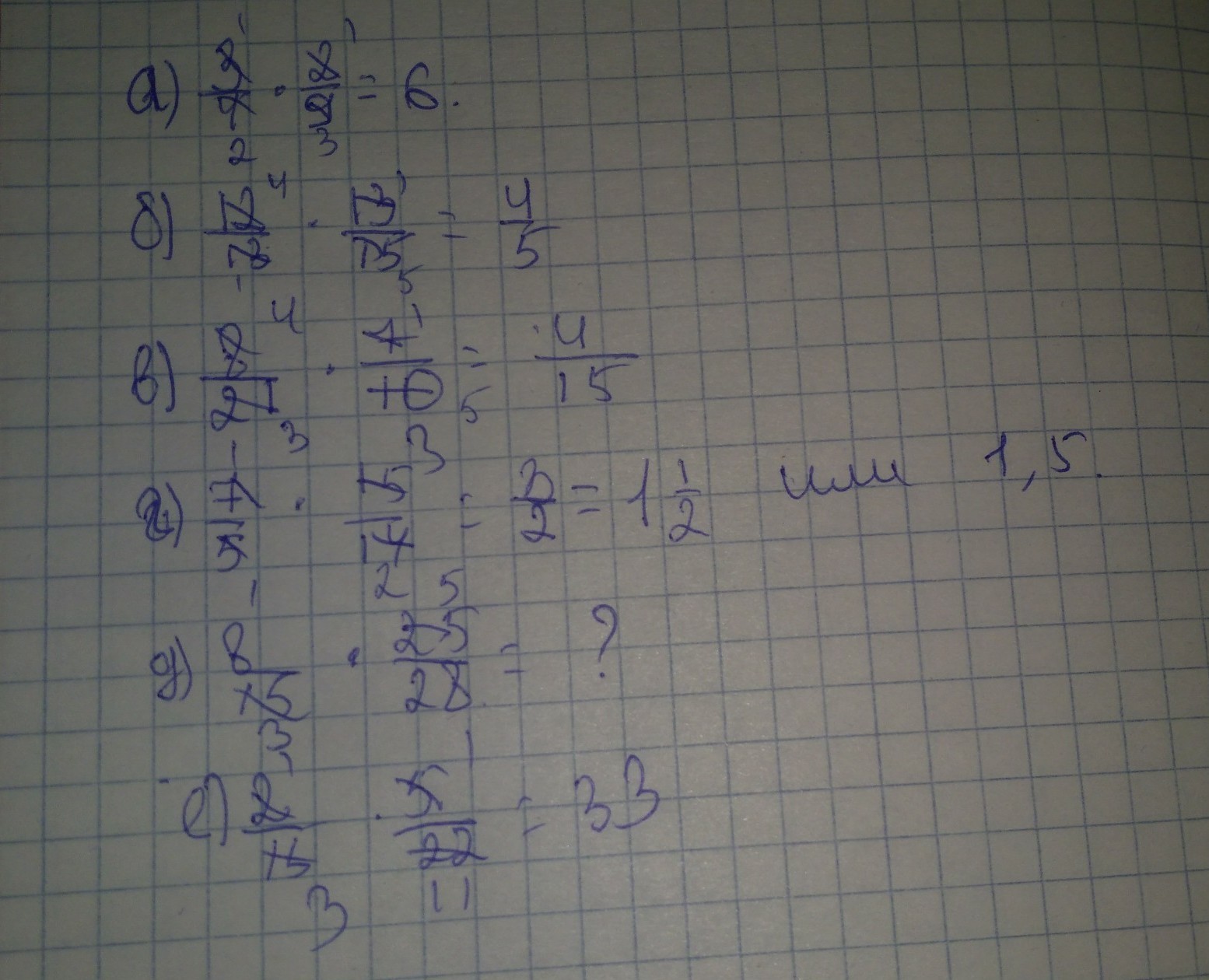
а) 3/4 * 2/9
б) 12/13 *13/15
в) 8/21 * 7/10
г) 7/5 * 15/14
д) 8/15 * 25/28
е) 2/15 * 5/22
Ответы
Автор ответа:
0
Д) не смогла не получилось уверена что правильно
Приложения:
Автор ответа:
0
А) 1/6
Б) 4/5
В) 4/15
Г) 3/2 = 1 1/2
Д) 20/21
Е) 1/33
Б) 4/5
В) 4/15
Г) 3/2 = 1 1/2
Д) 20/21
Е) 1/33
Похожие вопросы
Предмет: Литература,
автор: slepnevasvetlana91
Предмет: Математика,
автор: deltarune2314
Предмет: Физика,
автор: svetlana673
Предмет: Обществознание,
автор: Аноним
Предмет: Математика,
автор: vasilisa57