Предмет: Алгебра,
автор: Авдекюша
Помогите решить пожалуйста
Приложения:
Ответы
Автор ответа:
1
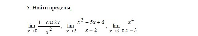
По правилу Лопиталя:
(1 - cos2x)/x² => 2sinx/2x => 2cosx/2 => cosx.
При х --->0 данное выражение стремится к cos0 = 1.
Ответ: 1.
-----------------------
(x² - 5x + 6)/(x - 2) => 2x - 5.
При х ---->2 данное выражение стремится к 2*2 - 5 = -1.
Ответ: - 1.
Похожие вопросы
Предмет: Геометрия,
автор: Victor1a64
Предмет: Химия,
автор: tigrtipdjjdhcy
Предмет: Математика,
автор: chocojulik
Предмет: Математика,
автор: Sergio2004
Предмет: История,
автор: valeriyadmitri