Предмет: Математика,
автор: m6n1ck
помогите пожалуйста очень срочно!!!
Приложения:
Ответы
Автор ответа:
0
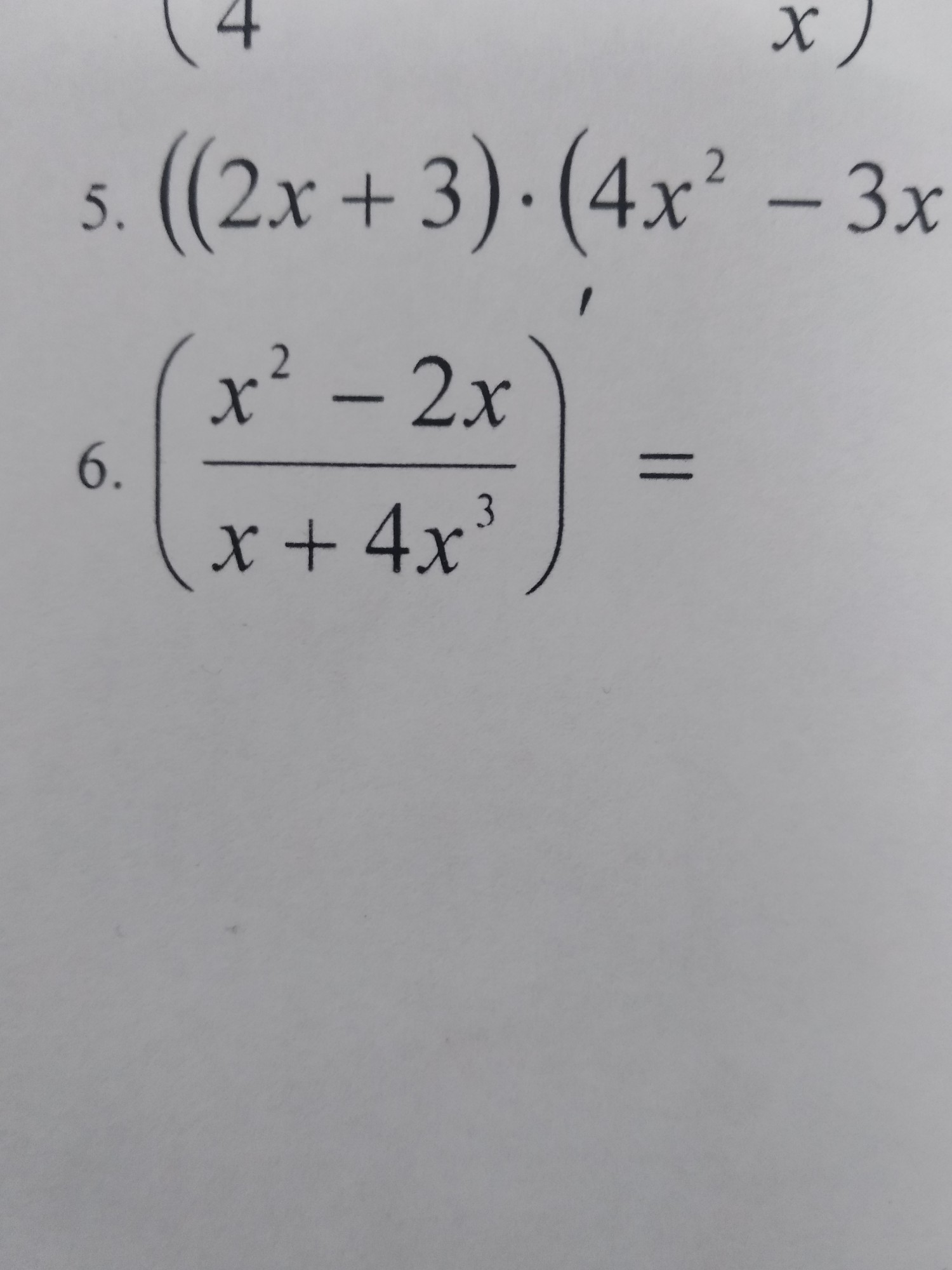
Ответ:
y'=((2x-2)*(x+4x^3)-(x^2-2x)*(1+12x^2))/(x+4x^3)^2=(2x^2+8x^3-2x-8x^3-x^2-12x^4+2x+24x^3)/(x+4x^3)=(-12x^4+24x^3+x^2)/(x+4x^3)^2
Пошаговое объяснение:
Похожие вопросы
Предмет: Литература,
автор: kirik031006
Предмет: Литература,
автор: ananenkolen805
Предмет: Алгебра,
автор: cikabambonicikabambo
Предмет: Математика,
автор: arzuka21