Предмет: Математика,
автор: tugin01
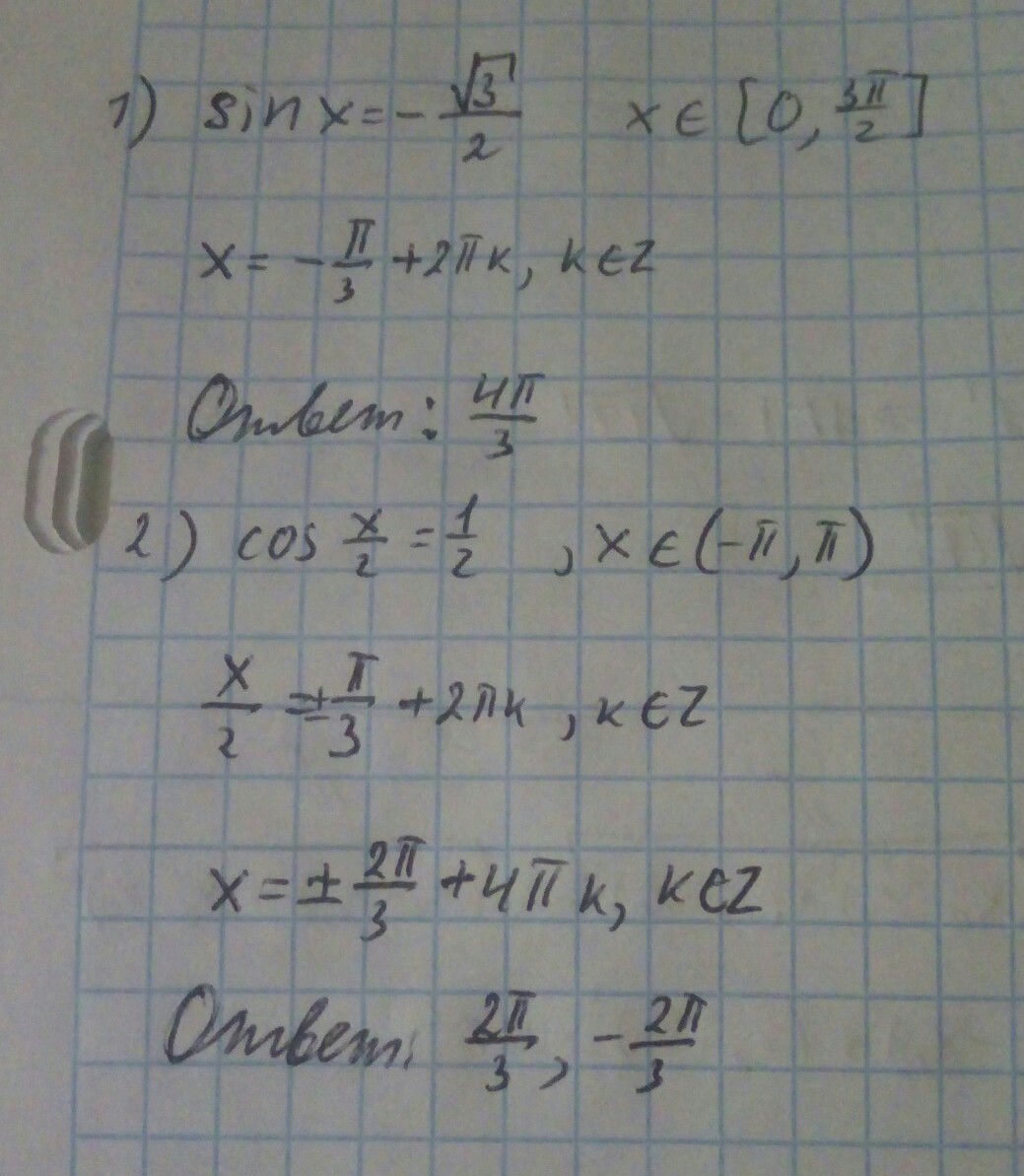
Помогите решить 6.33 а)1 и 2
Приложения:
Ответы
Автор ответа:
0
ответ смотри на фото
Приложения:
Похожие вопросы
Предмет: История,
автор: Pr05000
Предмет: Алгебра,
автор: Klim122
Предмет: Русский язык,
автор: Valya19872009
Предмет: Математика,
автор: Dinara555otlichnica
Предмет: Математика,
автор: aseka6