Предмет: Математика,
автор: dobricyna72
Математика 2 курса мед.колледжа.
Приложения:
Ответы
Автор ответа:
1
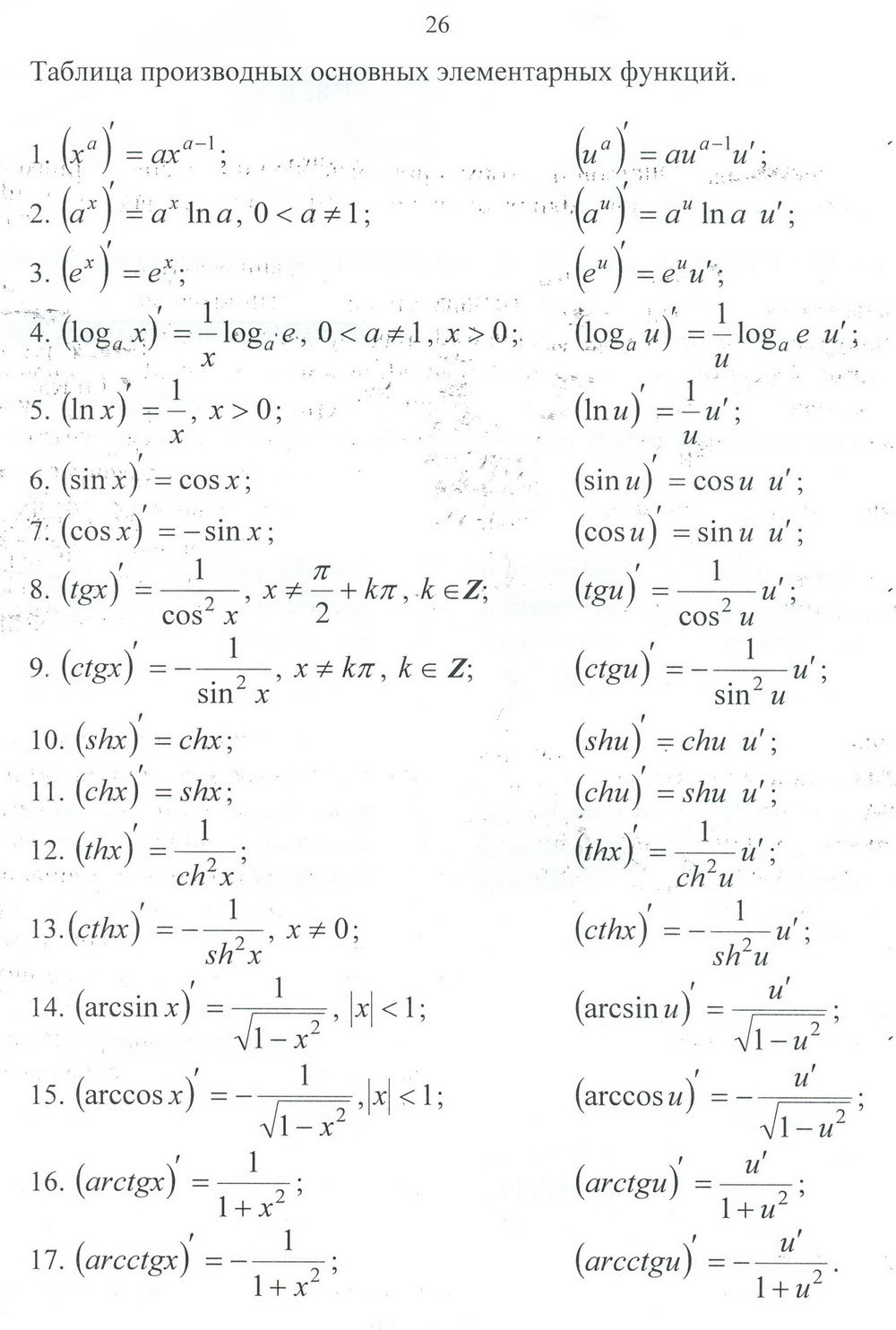
Добавила таблицу производных, чтобы понятнее было что и откуда берётся:)
Приложения:
Похожие вопросы
Предмет: Алгебра,
автор: Mitrodan1232
Предмет: Информатика,
автор: Daniil508
Предмет: Русский язык,
автор: msjizkd
Предмет: История,
автор: Мисс45іванка