Предмет: Математика,
автор: vacoupleee
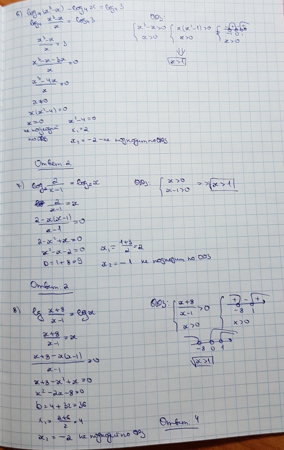
Решите, пожалуйста, карточку с логарифмами, желательно через систему
примеры 3,4,5,6,7,8,15
60 баллов даю
Приложения:
Ответы
Автор ответа:
1
решение на фотографиях
Приложения:
Похожие вопросы
Предмет: Физика,
автор: maksympokataiev
Предмет: Геометрия,
автор: sergpipulj
Предмет: Українська мова,
автор: asyablen
Предмет: Алгебра,
автор: vladimirmonomax33456