Предмет: Алгебра,
автор: ArtemGryaznev
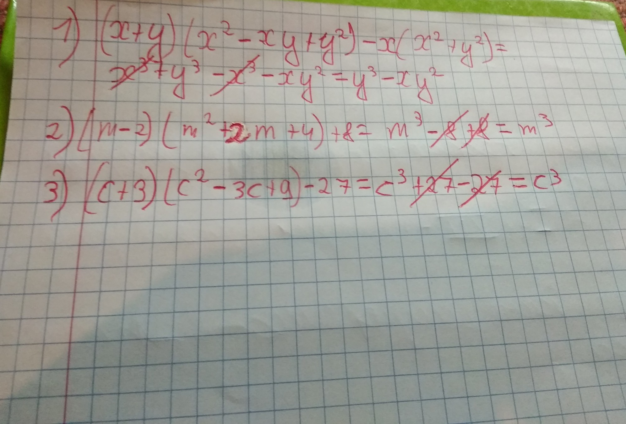
Упростите выражение
(x+y)(x²-xy+y²)-x(x²+y²);
(m-2)(m²+2m+4)+8;
(c+3)(c²-3c+9)-27.
Ответы
Автор ответа:
2
вот тебе решение.......
Приложения:
nazzar15:
если где то непонятно пиши
все отлично спасибо
Похожие вопросы
Предмет: Математика,
автор: masha112586
Предмет: Геометрия,
автор: dimmax2008top
Предмет: Алгебра,
автор: russkihmariya05
Предмет: Музыка,
автор: alice68